Самостійна робота з теми "Повторення"

Додано: 26 травня 2025
Предмет: Математика, 5 клас
8 запитань
Запитання 1

*

варіанти відповідей
Запитання 2

Знайди периметр прямокутника, сторони якого дорівнюють 5 см і 4,2 см.

варіанти відповідей

 21 см      

20,8 см    

9,2 см     

18,4 см

Запитання 3

*

варіанти відповідей

7,09     

7,9     

9,07   

9,7

Запитання 4

Знайди корінь рівняння 20,93 : х = 2,6.

варіанти відповідей

7,05    

8,05   

7,3  

8,5

Запитання 5

Вибери зображення, де побудований кут, градусна міра якого дорівнює 140°.

варіанти відповідей
Запитання 6

*

варіанти відповідей

108 см

180 см

252 см

360 см

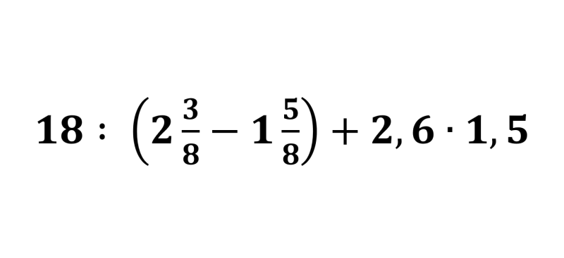
Запитання 7

Обчисли значення виразу:

варіанти відповідей

20,1

23,4

25,7

27,9

Запитання 8

З двох селищ, відстань між якими 51,75 км, одночасно назустріч один одному виїхали два велосипедисти. Швидкість одного з них 16,9 км/год, а другого – на 0,7 км/год більша. Через скільки годин вони зустрінуться?

варіанти відповідей

через 1,5 год

через 1,8 год

через 2,1 год

через 2,4 год

Створюйте онлайн-тести
для контролю знань і залучення учнів
до активної роботи у класі та вдома

Створити тест