Тест №12 "Гідравлічні та пневматичні пристрої" - 7 клас

Додано: 20 квітня 2025
Предмет: Фізика, 7 клас
10 запитань
Запитання 1

На якому законі грунтується будова і дія гідравлічної машини?

варіанти відповідей

На законі Архімеда

На законі Паскаля

На законі Ньютона

На законі Гука

Запитання 2

В роботі гідравлічної машини використовується...

варіанти відповідей

тверде тіло

пісок

рідина

газ

Запитання 3

Найпростіша гідравлічна машина складається з ...

варіанти відповідей

поршня і двох циліндрів

двох поршнів і циліндра

двох поршнів і двох циліндрів заповнених рідиною

двох поршнів і двох циліндрів, сполучених між собою і заповнених рідиною

Запитання 4

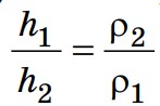
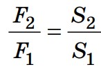
Який вигляд має рівняння гідравлічної машини?

варіанти відповідей
Запитання 5

Який виграш у силі можна отримати на гідравлічних машинах, у яких площі поперечних перерізів відносяться як 10 : 1000?

варіанти відповідей

5 раз

10 раз

100 раз

1000 раз

Запитання 6

Відомо, що сила яка діє на малий поршень гідравлічної машини дорівнює 4 Н, а на великий - 280 Н. Яка площа великого пошня, якщо площа малого 5 см2 ?

варіанти відповідей

35 см2

350 см2

3500 см2

3,5 см2

Запитання 7

Яка це гідравлічна машина?

варіанти відповідей

гідравлічний домкрат

гідравлічний насос

гідравлічний циліндр

гідравлічний прес

Запитання 8

Який із наведених пристроїв є прикладом пневматичного?

варіанти відповідей

Гідравлічний прес

Шприц медичний

Пневматичні гальма вантажівки

Гідравлічний підйомник

Запитання 9

Яку основну речовину використовують у роботі пневматичні пристрої?

варіанти відповідей

Рідину

Воду

Стиснений газ (найчастіше повітря)

Мастило

Запитання 10

Площа малого поршня гідравлічного домкрата становить 4 см², а великого – 1,2 дм². У скільки разів цей домкрат дає виграш у силі? (Опором та тертям знехтувати).

варіанти відповідей

в 30 разів

в 3 рази

в 4,8 разу

в 48 разів

в 3,33 разу

в 0,3 разів

Створюйте онлайн-тести
для контролю знань і залучення учнів
до активної роботи у класі та вдома

Створити тест