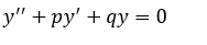
ЛОДР другого порядку зі сталими коефіцієнтами

Додано: 8 квітня
Предмет:
8 запитань
Запитання 1

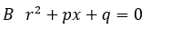
Який вигляд має характеристичне рівняння для лінійного однорідного диференціального рівняння другого порядку 

варіанти відповідей
Запитання 2

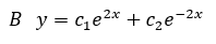
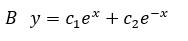
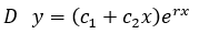
Якщо дискримінант характеристичного рівняння більше нуля, то загальний розв’язок диференціального рівняння має вигляд:


варіанти відповідей
Запитання 3

Яким буде загальний розв'язок рівняння 

варіанти відповідей
Запитання 4

При знаходженні коренів характеристичного рівняння отримано значення

Чому дорівнюють значення альфа  та бета  для запису загального розв’язку?

варіанти відповідей
Запитання 5

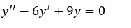
Знайдіть загальний розв’язок рівняння 

варіанти відповідей
Запитання 6

Для диференціального рівняння  знайдіть корені характеристичного рівняння 

варіанти відповідей
Запитання 7

Яка функція буде розв’язком, якщо дискримінант характеристичного рівняння менше нуля?


варіанти відповідей
Запитання 8

У рівнянні  коефіцієнти p та q є:

варіанти відповідей


 A Тільки додатними числами

B Функціями від x

C Уявними числами

D Сталими числами

Створюйте онлайн-тести
для контролю знань і залучення учнів
до активної роботи у класі та вдома

Створити тест