Множення раціональних чисел. Вирази. (Контрольна робота №8 , ГР2)

Додано: 7 квітня 2025
Предмет: Математика, 6 клас
6 запитань
Запитання 1

Який вигляд матиме вираз (0,03 + 2,5) · 0,4 після застосування розподільного закону множення:

варіанти відповідей

0,03 · 0,4 + 2,5

0,03 + 2,5 · 0,4

0,03 · 0,4+ 2,5 · 0,4

0,03 · 0,4 · 2,5 · 0,4

Запитання 2

Який вираз дістанемо, розкривши дужки в добутку -5р(-х + 2у – 3k)?

варіанти відповідей

-5рх - 10ру – 3k

5рх - 10ру + 15рk

-5рх - 10ру + 15рk

5рх - 10ру - 15рk

5рх + 10ру - 15рk

Запитання 3

Який вираз дістанемо, спростивши вираз 4с(3а – 2) – 6а(2с + 1)?

варіанти відповідей

-8с -6а

24ас - 8с - 6а

-14ас

8с - 6а

Запитання 4

 Обчисліть найзручнішим способом: -0,2 · 3,8 - 3, 7 · (-0,2)

варіанти відповідей

-0,2

-0,02

1,48

0,2

-0,4

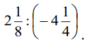
Запитання 5

Виконайте ділення:

варіанти відповідей

-0,5

1/2

-2

2,2

Запитання 6

Виконайте ділення: -2 : (-8)

варіанти відповідей

-0,25

1/4

2/4

-2/4

Створюйте онлайн-тести
для контролю знань і залучення учнів
до активної роботи у класі та вдома

Створити тест