Похідна та її застосування.

Додано: 10 серпня
Предмет: Алгебра, 10 клас
14 запитань
Запитання 1

Знайдіть похідну функції у = 7х6

варіанти відповідей

42х

42х6

42х5

Запитання 2

Знайдіть похідну функції у = 6х2 - 5х3

варіанти відповідей

12 х - 15х

2х - 3х2

12х - 15х2

12х2 - 15х3

Запитання 3

Яка з наведених функцій є похідною функції f(x)=sin⁡x ?

варіанти відповідей

cos x

- sin x

- cos x

tg x

Запитання 4

Знайдіть значення похідної функції f(x)=x3 у точці x0 = 2

варіанти відповідей

6

8

24

12

Запитання 5

Знайдіть похідну добутку f(x)=x2 ⋅sin⁡ x

варіанти відповідей

2x sin x + x2 cos x

x2 sin x + x2 cos x

2x cos x + x2 sin x

sin x + cos x

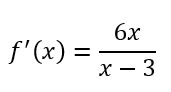
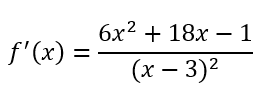
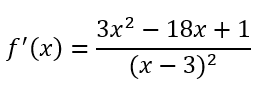
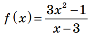
Запитання 6

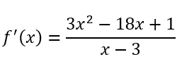
Знайти похідну функції:

варіанти відповідей
Запитання 7

Знайдіть f'(-1), якщо f(х)= 6х3.

варіанти відповідей

- 36

36

-18

- 24

Запитання 8

Знайти точки функції у = х3 + 3х2 - 9х -10, в яких похідна дорівнює нулю.

варіанти відповідей

3; -1

-3; 1

-3; 3

2; 3

Запитання 9

Знайти проміжки зростання( у' >0) і спадання (у'<0) функції y=4x2-16x

варіанти відповідей

(-∞;2] - зростає; [2;+∞) - спадає

 (-∞;4] - спадає; [4;+∞) - зростає

(-∞;-2] - спадає; [-2;+∞) - зростає

 (-∞;2] - спадає; [2;+∞) - зростає

Запитання 10

Знак похідної функції у = f(x), яка визначена на проміжку (-;+∞), змінюється за схемою, зображеною на рисунку (– 3 і 1 – критичні точки). На проміжку (-3;1) функція.

варіанти відповідей

зростає

спадає

і зростає і спадає

стала

Запитання 11

Якщо похідна функції дорівнює 0, то функція дорівнює

варіанти відповідей

сталому числу

х

х2

не маю уяви

Запитання 12

Знайти похідну функції:

у =6cosx-3sinx+2x-1

варіанти відповідей

6sinx-3cosx+2x-1

-6sinx-3cosx+2x-1

-6sinx-3cosx+2

6sinx-3cosx+2

інша відповідь

Запитання 13

Чому дорівнює похідна функції у = -2х3 + 3cos x?

варіанти відповідей

-6х2 + 3sinx

-6х2 - 3соsx

-6х2 - 3sinx

 -6х2 + 3соsx

Запитання 14

Знайдіть похідну функції

варіанти відповідей

Створюйте онлайн-тести
для контролю знань і залучення учнів
до активної роботи у класі та вдома

Створити тест