5 клас. САМОСТІЙНА РОБОТА. Мішані числа

Додано: 13 березня 2025
Предмет: Математика, 5 клас
12 запитань
Запитання 1

З наведених чисел оберіть мішане число

варіанти відповідей
Запитання 2

Порівняйте числа

варіанти відповідей
Запитання 3

Порівняйте числа

варіанти відповідей
Запитання 4

Представ неправильний дріб у вигляді мішаного числа:  

варіанти відповідей
Запитання 5

Подай мішане число у вигляді неправильного дробу

варіанти відповідей
Запитання 6

Виконайте дії:

варіанти відповідей
Запитання 7

Виконайте дії:

варіанти відповідей
Запитання 8

Виконайте дії:

варіанти відповідей
Запитання 9

Виконайте дії:

варіанти відповідей
Запитання 10

Обчисліть:

варіанти відповідей
Запитання 11

Розв'яжи задачу

варіанти відповідей
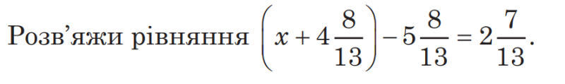
Запитання 12

Розв'яжи рівняння

варіанти відповідей

інша відповідь

Створюйте онлайн-тести
для контролю знань і залучення учнів
до активної роботи у класі та вдома

Створити тест