Дії з дробами. Мішані числа

Додано: 22 лютого
Предмет: Математика, 5 клас
14 запитань
Запитання 1

Перетворіть в мішаний дріб 73:25

варіанти відповідей
Запитання 2

Перетворіть в мішаний дріб 33:25

варіанти відповідей
Запитання 3

Перетворіть неправильний дріб в мішаний 44/9

варіанти відповідей
Запитання 4

Перетворіть неправильний дріб в мішаний 34/9

варіанти відповідей
Запитання 5

Обчисли:

варіанти відповідей

1

Запитання 6

Обчисли:

варіанти відповідей

1

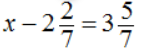
Запитання 7

Обчисли:

варіанти відповідей

1

Запитання 8

Обчисли:

варіанти відповідей

1

Запитання 9

Обчисли:

варіанти відповідей

6

Запитання 10

Обчисли:

варіанти відповідей

6

Запитання 11

Обчисли:

варіанти відповідей

6

Запитання 12

Обчисли:

варіанти відповідей

6

Запитання 13

Обчисли:

варіанти відповідей

6

Запитання 14

У Матвія було 200 грн. На тістечка витратив ⅖ грошей. Скільки залишилось?

варіанти відповідей

80

90

100

120

Створюйте онлайн-тести
для контролю знань і залучення учнів
до активної роботи у класі та вдома

Створити тест