Діагностувальна робота.Мішані числа

Додано: 28 січня
Предмет: Математика, 4 клас
11 запитань
Запитання 1

Обчисли та обери правильну відповідь

варіанти відповідей

4 ¾

4 ⅖

4⅔

Запитання 2

Обчисли та обери правильну відповідь

варіанти відповідей

10

10/11

Запитання 3

Обчисли та обери правильну відповідь

варіанти відповідей

3/8

5/8

Запитання 4

Обчисли та обери правильну відповідь

варіанти відповідей

2 ⅞

2 ⅝

2 7/9

2

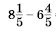
Запитання 5

Обчисли та обери правильну відповідь

варіанти відповідей

6 ⅞

4 12/12

12 7/9

7

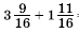
Запитання 6

Обчисли та обери правильну відповідь

варіанти відповідей

5 4/16

4 20/16

Запитання 7

Обчисли та обери правильну відповідь

варіанти відповідей

2 3/5

1 2/5

Запитання 8

Виділи цілу частину з дробу та обери правильну відповідь

варіанти відповідей

1

3 ⅖

3⅕

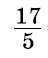
Запитання 9

Перетвори мішане число в неправильний дріб та обери правильну відповідь

варіанти відповідей

15/7

14/7

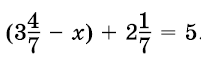
Запитання 10

Розв'яжи рівняння та обери правильну відповідь

варіанти відповідей

5/7

4/7

Запитання 11

Розв'яжи задачу

Комп’ютер коштує 3000 грн., принтер - 2/15 його ціни, а сканер – 45 ціни принтера. Скільки коштують усі ці речі разом?

варіанти відповідей

4.000

3.300

5.630

3.720

Створюйте онлайн-тести
для контролю знань і залучення учнів
до активної роботи у класі та вдома

Створити тест