ДО тести (частина 2)

Додано: 1 червня 2025
Предмет:
40 запитань
Запитання 1

Задана задача лінійного програмування, вибрати правильну канонічну форму:

варіанти відповідей

x₁ + 2x₂ → max; 

4x₁ - 2x₂ = 10;

3x₁ + 5x₂ = 25

x₁ + 2x₂ → min;

4x₁ - 2x₂ + x₃ = 10;

3x₁ + 5x₂ + x₄ = 25

 x₁ + 2x₂ - Mx₅ → max; 

4x₁ - 2x₂ + x₃ = 10;

3x₁ + 5x₂ - x₄ + x₅ = 25

x₁ + 2x₂ + Mx₅ → max;

4x₁ - 2x₂ - x₃ = 10; 

3x₁ + 5x₂ + x₄ = 25

Запитання 2

Для матриці гри визначити математичну модель задачі лінійного програмування, яка відповідає матриці гри для гравця A:

варіанти відповідей

x₁ + x₂ + x₃ = 1;

5x₁ + 4x₂ + 8x₃ → max;

7x₁ + 9x₂ + 3x₃ → max;

2x₁ + 5x₂ + 6x₃ → max

 x₁ + x₂ + x₃ → max; 

5x₁ + 7x₂ + 2x₃ ≤ 1; 

4x₁ + 9x₂ + 5x₃ ≤ 1;

8x₁ + 3x₂ + 6x₃ ≤ 1;

xᵢ ≥ 0, x₂ ≥ 0, x₃ ≥ 0

x₁ + x₂ + x₃ → min;

5x₁ + 4x₂ + 8x₃ ≥ 1;

7x₁ + 9x₂ + 3x₃ ≥ 1;

2x₁ + 5x₂ + 6x₃ ≥ 1;

xᵢ ≥ 0, x₂ ≥ 0, x₃ ≥ 0

x₁ + x₂ + x₃ → min; 

5x₁ + 7x₂ + 2x₃ ≥ 1; 

4x₁ + 9x₂ + 5x₃ ≥ 1; 

8x₁ + 3x₂ + 6x₃ ≥ 1;

xᵢ ≥ 0, x₂ ≥ 0, x₃ ≥ 0

Запитання 3

Потік в мережі однозначно права двох або більше задач неможлива, називається:

варіанти відповідей

Мінімальним

Ординарним

Максимальним

Пуасонівським

Запитання 4

До недоліків динамічного програмування відносять:

варіанти відповідей

Прокляття розмірності

Складність обчислень

Неточність результатів

Обмеженість застосування

Запитання 5

В дослідженні операцій при вирішенні задачі на мінімізацію:

варіанти відповідей

Знаходять мінімум

Знаходять максимум

Знаходять середнє значення

Знаходять оптимум

Запитання 6

Для розв’язання задачі лінійного програмування двоїстим симплекс-методом заповнено симплекс таблицю:

Визначити розв'язальний елемент для виконання перерахунку симплекс-таблиці.

варіанти відповідей

А4 - А1

А4 - А2

А5 - А1

А5 - А2

Запитання 7

Планом задачі лінійного програмування називається:

варіанти відповідей

Опорним планом задачі ЛП називається план, утворений координатами вершин багатогранника планів задачі.

Будь-який набір значень змінних, що задовольняє обмеження

Точка максимуму цільової функції

 Множина всіх можливих розв'язків задачі

Запитання 8

Загальна кількість опорних планів в задачі лінійного програмування дорівнює:

варіанти відповідей

n!/(2m!(n-m)!)

C(n,m) = n!/(m!(n-m)!)

2^n

n×m

Запитання 9

Задача лінійного програмування має необмежені рішення, якщо:

варіанти відповідей

Якщо при переході від одного плану до іншого в стовпцю немає додатних елементів

Всі коефіцієнти цільової функції дорівнюють нулю

 Система обмежень суперечлива

Область допустимих рішень є пустою множиною

Запитання 10

Транспортна задача є частковим випадком задачі, відомої, як:

варіанти відповідей

Квадратичного програмування

Теорії ігор

Лінійної оптимізації

Динамічного програмування

Запитання 11

Для моделі масового обслуговування M/M/1 не властиве:

варіанти відповідей

Експоненціальний розподіл часу обслуговування

Надходження заявок з обмеженої кількості

Пуасонівський потік заявок

Один канал обслуговування

Запитання 12

Сідлова точка в мішаних стратегіях повинна задовольняти умови:

варіанти відповідей

max min αᵢ ≤ S ≤ min max αⱼ 

max min αᵢ ≥ S ≥ min max αⱼ 

max min αᵢ = S = min max αⱼ 

max min αᵢ > S > min max αⱼ

Запитання 13

В задачах теорії ігор та стратегій, яка відповідає нижній ціні гри, називається:

варіанти відповідей

Мінімін

Максимін

Мінімакс

Максимакс

Запитання 14

Обмеження задачі дослідження операцій звучують діапазон значень, які можуть приймати цільова функція і змінні рішення. Це:

варіанти відповідей

Лінійні обмеження

Нелінійні обмеження 

Цільові обмеження

Діапазон допустимих значень

Запитання 15

Опорний план є невиродженим, якщо: 

варіанти відповідей

кількість його нульових компонент дорівнює кількості базисних змінних

кількість його додатних компонент дорівнює кількості базисних змінних

кількість його від'ємних компонент дорівнює кількості базисних змінних

кількість його комплексних компонент дорівнює кількості базисних змінних

Запитання 16

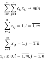
До якого класу задач відноситься задача за наступною моделлю:

варіанти відповідей

Задача про розподіл ресурсів

Задача про призначення

Задача про дієту

Задача про перевезення

Запитання 17

Опорний план транспортної задачі є виродженим, якщо:

варіанти відповідей

Заповнених клітинок у таблиці більше, ніж (m + n - 1)

Заповнених клітинок у таблиці менше, ніж (m + n - 1)

Заповнених клітинок у таблиці дорівнює (m + n - 1)

Заповнених клітинок у таблиці дорівнює (m × n - 1)

Запитання 18

Потенціали колонок [Vj] та рядків [Ui] транспортної таблиці визначаються для невідомих з оцінками Cij за формулою:

варіанти відповідей

Cij = Vi + Uj 

Cij = Vj + Ui 

Cij = Vj - Ui

Cij = Vi - Uj

Запитання 19

Для переходу від одного базисного розв'язку транспортної задачі до іншого будують цикл перерахунків, в якому:

варіанти відповідей

Вибрана оптимальна клітина небазисна, а всі інші клітини циклу базисні 

Вибрана неоптимальна клітина небазисна, а всі інші клітини циклу базисні

Всі клітини циклу є базисними

Всі клітини циклу є небазисними

Запитання 20

Динамічне програмування являє собою математичний апарат, що дає змогу: 

варіанти відповідей

Розв'язувати задачі комбінаторної оптимізації 

Планувати багатокрокових керованих процесів, а також процесів, що розвиваються у часі 

Знаходити оптимальні рішення лінійних задач

Аналізувати стохастичні процеси

Запитання 21

В процесі динамічного програмування раніш за все планується: 

варіанти відповідей

Перший крок

Останній крок

Середній крок

Всі кроки одночасно

Запитання 22

Функція Беллмана має вигляд: 

варіанти відповідей
Запитання 23

Гра називається грою з нульовою сумою, якщо:

варіанти відповідей

Сума програшів гравців дорівнює 1 

Сума виграшів гравців дорівнює 0

Сума виграшів більше нуля 

Сума програшів менше нуля

Запитання 24

Верхня ціна гри в чистих стратегіях повинна задовольняти вимозі: 

варіанти відповідей

 β ≤ min max aᵢⱼ

β ≥ min max aᵢⱼ 

 β = min max aᵢⱼ

β > min max aᵢⱼ

Запитання 25

Потік, що характеризується тим, що ймовірність надходження певної кількості вимог (заявок) протягом певного проміжку часу залежить тільки від довжини проміжку, називається:

варіанти відповідей

Детермінованим 

Стаціонарним 

Періодичним

Випадковим

Запитання 26

Оптимальний розмір замовлення Q для найпростішої детермінованої моделі управління запасами визначається: 

варіанти відповідей
Запитання 27

Критичний шлях мережевого графіка:

варіанти відповідей

Найкоротший шлях з мінімальною тривалістю

Повний шлях з максимальною тривалістю

Середній шлях за тривалістю

Будь-який шлях у мережі

Запитання 28

Критерієм оптимальності рішення у стохастичному програмуванні не обирають:

варіанти відповідей

 Критерій очікуваного значення

Критерій мінімального ризику 

Максимізацію дисперсії

Критерій надійності

Запитання 29

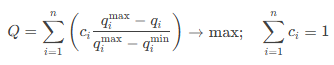
Лінійне згортання норманованих критеріїв Qi має вигляд:

варіанти відповідей
Запитання 30

В багатокритеріальній моделі:

варіанти відповідей

Використовують декілька цільових функцій

Існує декілька цільових функцій

Застосовують одну цільову функцію 

Не використовують цільові функції

Запитання 31

Задача лінійного програмування має необмежені рішення, якщо: 

варіанти відповідей

На деякій ітерації небазисна змінна має в обмеженнях всі недодатні коефіцієнти, для задачі мінімізації виконується умова Δj = Zj – Cj < 0 (для задачі максимізації Δj > 0) і цю змінну необхідно ввести в базис 

На деякій ітерації небазисна змінна має в обмеженнях всі невід'ємні коефіцієнти, для задачі максимізації виконується умова Δj = Zj – Cj > 0 (для задачі мінімізації Δj < 0) і цю змінну необхідно ввести в базис 

Всі коефіцієнти в цільовій функції додатні

Система обмежень суперечлива

Запитання 32

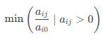
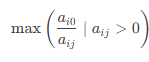
Для вибору розв'язувального елемента в розв'язувальному стовпчику в симплекс методі виконується наступне правило:

варіанти відповідей
Запитання 33

Псевдоплан задачі лінійного програмування:

варіанти відповідей

Набір значень змінних x₁, x₂, ..., xₙ, який задовольняє систему обмежень нерівностей ∑aᵢⱼxⱼ ≤ bᵢ, xⱼ ≥ 0

Набір значень змінних x₁, x₂, ..., xₙ, який задовольняє повній системі обмежень ∑aᵢⱼxⱼ = bᵢ, xⱼ ≥ 0

Оптимальне рішення задачі

Базисне рішення системи рівнянь

Запитання 34

Алгоритм Форда-Фалкерсона для вирішення задач про максимальний потік передбачає:

варіанти відповідей

Знаходження мінімального розрізу мережі

Циклічне виконання двох кроків: перший крок – це простановка міток для виконання вершин і, які ведуть від джерела до стоку мережі, а другий крок – це зібі зменшення потоку в отриманому ланцюзі на величину найменшої мітки, або зміна його напрямку

Побудову остового дерева

Застосування жадібного алгоритму

Запитання 35

Згідно із методом потенціалів, якщо потенціали всіх вільних комірок Cᵢⱼ - (Uᵢ + Vⱼ) ≥ 0, то це: 

варіанти відповідей

План не є оптимальним

План потребує покращення 

Оптимальність транспортної задачі

Необхідно змінити базисні змінні

Запитання 36

До загальних характеристик задачі динамічного програмування не відноситься особливість: 

варіанти відповідей

Можливість розбиття на етапи

Принцип оптимальності Беллмана

Цільова функція дорівнює ∑∑cᵢⱼxᵢⱼ 

Рекурентні співвідношення

Запитання 37

Симплекс метод дозволяє: 

варіанти відповідей

Розв'язувати нелінійні задачі

Обмежити кількість розглядаємих базисних рішень

Знаходити всі можливі рішення

Працювати з цілочисельними змінними

Запитання 38

В результаті вирішення задачі лінійного програмування на максимум симплекс методом отримана наступна симплекс таблиця.

Визначити доя кого випадку відноситься отримане рішення:

варіанти відповідей

Задача є виродженою

Задача має альтернативні оптимальні рішення

Задача має необмежені рішення

Задача не має рішення

Запитання 39

При дослідженні на чутливість визначається

варіанти відповідей

допустимий діапазон зміни значення xᵢ* i=1,n оптимального рішення при незмінних коефіцієнтах цільової функції 

допустимий діапазон зміни коефіцієнтів цільової функції і отриманого оптимального рішення xᵢ* i=1,n при незмінному значенні цільової функції

допустимий діапазон зміни значення цільової функції при зміні значень обмежень

допустимий діапазон зміни коефіцієнтів цільової функції при незмінних значеннях xᵢ* i=1,n оптимального оптимального рішення

Запитання 40

Щоби отримати базисне рішення СЛАР

варіанти відповідей

Додатнім надають додатні значення, а базисним – нульові

Небазисним надають нульові значення, а базисним – додатні 

Вільним надають нульові значення, а базисним – додатні

Всім змінним надають однакові значення

Створюйте онлайн-тести
для контролю знань і залучення учнів
до активної роботи у класі та вдома

Створити тест