Додавання і віднімання мішаних чисел

Додано: 24 лютого
Предмет: Математика, 5 клас
6 запитань
Запитання 1

Виконайте додавання мішаних чисел

варіанти відповідей

6

5

Запитання 2

Виконайте віднімання мішаних чисел

варіанти відповідей

4

3

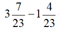
Запитання 3

Виконайте віднімання

варіанти відповідей

4

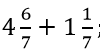
Запитання 4

Виконайте додавання

варіанти відповідей

7

8

Запитання 5

Виконайте віднімання

варіанти відповідей

9

Запитання 6

Виконайте віднімання

варіанти відповідей

2

8

Створюйте онлайн-тести
для контролю знань і залучення учнів
до активної роботи у класі та вдома

Створити тест