Додавання та віднімання дробів з однаковими знаменниками

Додано: 4 лютого
Предмет: Математика, 5 клас
5 запитань
Запитання 1

25/36-25/36

варіанти відповідей

10/36

0

50/36

1

Запитання 2

12/42+12/42

варіанти відповідей

12/42

18/42

24/42

20/42

Запитання 3

12/20-8/20

варіанти відповідей

4/20

14/20

4/21

4/40

Запитання 4

5/9+4/9

варіанти відповідей

5/9

1

8/9

1 ∕ 9

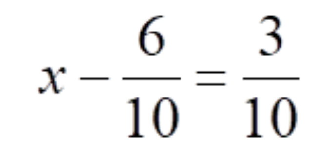
Запитання 5

Розв'яжіть рівняння:

варіанти відповідей

Створюйте онлайн-тести
для контролю знань і залучення учнів
до активної роботи у класі та вдома

Створити тест