Енергія та її види. Механічна енергія. Закон збереження механічної енергії.

STEM 7 клас

Додано: 24 лютого 2025
Предмет: , 7 клас
8 запитань
Запитання 1

Здатність тіл виконувати роботу і рухатись це..

варіанти відповідей

сила

характеристика

енергія

механічний рух

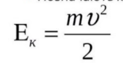
Запитання 2

На фото представлена формула

варіанти відповідей

механічної енергії

потенційної енергії

теплової енергії

кінетичної енергії

Запитання 3

Від якої величини залежить потенційна енергія

варіанти відповідей

від висоти

від температури

від плотності

від часу

Запитання 4

Із списку джерел енергії виберіть відновлювальні (три віповіді)

варіанти відповідей

буре вугілля

сонце

вітер

нафта

уранові руди

сланцевий газ

вода

Запитання 5

На фото розміщена формула

варіанти відповідей

повної механічної енергії

кінетичної енергії

потенційної енергії деформованого тіла

потенційної енергії

Запитання 6

Закон збереження механічної енергії стверджує, що сума кінетичної та потенціальної енергії ..., якщо немає зовнішніх сил

варіанти відповідей

залишається сталою

завжди змінюється

Запитання 7

Автор закону

варіанти відповідей

Ньютон

Фуко

Майєр

Архімед

Запитання 8

Із списку виберіть невідновлювальні джерела енергії

варіанти відповідей

припливи

кам*яне вугілля

торф

природний газ

сонце

вода

біомаса

Створюйте онлайн-тести
для контролю знань і залучення учнів
до активної роботи у класі та вдома

Створити тест