Контрольна робота "Арифметичні дії зі звичайними дробами та мішаними числами"

Додано: 4 березня 2025
Предмет: Математика, 5 клас
11 запитань
Запитання 1

Яку частину зафарбовано у зелений колір?

варіанти відповідей

4 / 12

12 / 4

8 / 12

4 / 8

Запитання 2

Перетворіть неправильний дріб 9/6 у мішане число

варіанти відповідей

9 цілих 1/6

1 ціла 3/6

2 цілих 6/9

3 цілих 1/6

Запитання 3

Знайти усі натуральні значення b

варіанти відповідей

1,3

0,1,2,3

1,2,3

Запитання 4

Виберіть всі неправильні дроби з даного переліку дробів:

варіанти відповідей

4/2

1/3

5/5

11/12

143/12

8/25

Запитання 5

У класі 32 учні , з них 17 - дівчат. Яку частину учнів класу становлять хлопці ?

варіанти відповідей

17/32

15/32

32/17

32/15

Запитання 6

Турист мав пройти 40 км. За перший день він пройшов 3/8 усього шляху, а за другий 2/8 шляху. Скільки км турист пройшов за 2 дні?

варіанти відповідей

5/8 частин

25

30

не можливо знайти

Запитання 7

Перетворіть мішане число у неправильний дріб 2 цілих 7/8

варіанти відповідей

16/8

22/8

23/8

14/8

Запитання 8

Яка з нерівностей правильна?

варіанти відповідей

2/7 < 5/7

12/13 < 5/13

12/13 < 13/13

1/3 > 1

21/39 > 31/39

1 > 1/9

Запитання 9

Обчислити:

варіанти відповідей

9/17

7/17

18/17

7/16

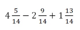
Запитання 10

Знайти значення виразу:

варіанти відповідей

3 цілих 17/14

4 цілих 3/14

3 цілих 9/14

2 цілих 9/14

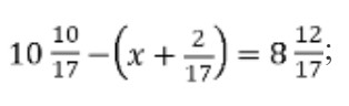
Запитання 11

Розв'язати рівняння

варіанти відповідей

19

2 цілих 4/17

2

1 ціла 13/17

Створюйте онлайн-тести
для контролю знань і залучення учнів
до активної роботи у класі та вдома

Створити тест