ОКДМ Лабораторна робота №2 «Визначення геометричних параметрів евольвентних зубчатих коліс зубча»

Додано: 12 лютого
Предмет:
20 запитань
Запитання 1

Яка основна мета лабораторної роботи №2?


варіанти відповідей

А) Дослідження пластичних деформацій

Б) Визначення механічних характеристик матеріалу при навантаженні


В) Вивчення корозійних процесів

Г) Дослідження теплового розширення


Запитання 2

Який тип навантаження використовується у роботі?


варіанти відповідей

А) Кручення


Б) Розтяг (стиск)

В) Згинання

Г) Зріз


Запитання 3

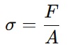
Яка фізична величина визначається за формулою


варіанти відповідей

А) Деформація

Б) Модуль пружності

В) Напруження

Г) Жорсткість

Запитання 4

В яких одиницях вимірюється нормальне напруження?


варіанти відповідей

А) Н

Б) Па

В) мм

Г) Н·м


Запитання 5

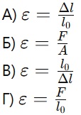
Відносна деформація визначається як:

варіанти відповідей

А)

Б)

В)

Г)

Запитання 6

Закон Гука у межах пружних деформацій має вигляд:


варіанти відповідей

А)

Б)

В)

Г)

Запитання 7

Модуль пружності характеризує:


варіанти відповідей

А) Міцність матеріалу

Б) Пластичність матеріалу

В) Жорсткість матеріалу

Г) Крихкість матеріалу


Запитання 8

Межа пропорційності – це:


варіанти відповідей

А) Максимальне напруження перед руйнуванням

Б) Напруження, до якого виконується закон Гука

В) Напруження текучості


Г) Мінімальне напруження


Запитання 9

Який прилад використовується для вимірювання подовження зразка?


варіанти відповідей

А) Мікрометр

Б) Штангенциркуль

В) Індикатор годинникового типу


Г) Тензометр


Запитання 10

Діаграма розтягу будується у координатах:


варіанти відповідей

А) F – l

Б) σ – ε

В) F – t


Г) ε – t


Запитання 11

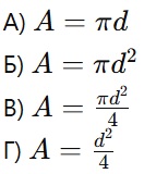
Площа поперечного перерізу круглого зразка визначається як:


варіанти відповідей

А)

Б)

В)

Г)

Запитання 12

Якщо подвоїти силу, то у межах пружності деформація:


варіанти відповідей

А) Зменшиться вдвічі

Б) Залишиться сталою

В) Збільшиться вдвічі

Г) Зросте у 4 рази


Запитання 13

Межа текучості – це:


варіанти відповідей

А) Початок пластичної деформації

Б) Початок руйнування

В) Максимальне напруження

Г) Мінімальне напруження


Запитання 14

Тимчасовий опір (межа міцності) – це:


варіанти відповідей

А) Напруження пропорційності

Б) Максимальне напруження перед руйнуванням


В) Напруження при текучості


Г) Мінімальне напруження


Запитання 15

Після зняття навантаження в межах пружності:


варіанти відповідей

А) Залишається пластична деформація


Б) Зразок повністю відновлює форму

В) Зразок руйнується

Г) Збільшується довжина


Запитання 16

Основною причиною похибки експерименту є:


варіанти відповідей

А) Ідеальність матеріалу

Б) Нестабільність температури


В) Неточність вимірювальних приладів

Г) Відсутність навантаження


Запитання 17

Відносне подовження після розриву характеризує:


варіанти відповідей

А) Жорсткість

Б) Пластичність

В) Крихкість


Г) Міцність


Запитання 18

Зменшення площі перерізу при розриві характеризує:


варіанти відповідей

А) Крихкість

Б) Пружність

В) Пластичність


Г) Твердість


Запитання 19

Якщо напруження перевищує межу міцності, відбувається:


варіанти відповідей

А) Пружна деформація

Б) Пластична деформація

В) Руйнування


Г) Стискання


Запитання 20

Який висновок можна зробити з діаграми розтягу?


варіанти відповідей

А) Хімічний склад матеріалу

Б) Механічні характеристики матеріалу

В) Колір матеріалу

Г) Технологію виготовлення


Створюйте онлайн-тести
для контролю знань і залучення учнів
до активної роботи у класі та вдома

Створити тест