ОПМ Тема 11. Стійкість рівноваги деформівних систем

Додано: 2 березня
Предмет:
20 запитань
Запитання 1

Стійкою формою рівноваги називається така форма, при якій:


варіанти відповідей

а) після малого відхилення система повертається в початковий стан


б) після малого відхилення система віддаляється від початкового стану

в) після малого відхилення система переходить у новий стан рівноваги


г) система перебуває без навантаження


Запитання 2

Нестійка рівновага характеризується тим, що:


варіанти відповідей

а) при малому відхиленні система повертається назад

б) при малому відхиленні відбувається зростання відхилення

в) критична сила дорівнює нулю

г) система миттєво руйнується


Запитання 3

Критичне навантаження — це:


варіанти відповідей

а) найбільше допустиме напруження


б) навантаження, при якому виникає втрата стійкості

в) навантаження, що викликає текучість матеріалу

г) навантаження, при якому виникає руйнування


Запитання 4

Формула Ейлера застосовується для:


варіанти відповідей

а) коротких стержнів

б) довгих гнучких стержнів у межах пружності


в) пластичних матеріалів

г) будь-яких стержнів незалежно від довжини


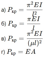
Запитання 5

Формула Ейлера для критичної сили має вигляд:



варіанти відповідей

а)

б)

в)

г)

Запитання 6

Коефіцієнт μ у формулі Ейлера враховує:


варіанти відповідей

а) матеріал стержня

б) форму поперечного перерізу


в) спосіб закріплення кінців

г) температуру


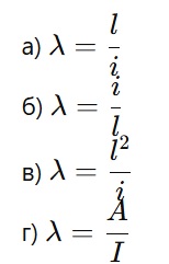
Запитання 7

Гнучкість стержня визначається як:

варіанти відповідей

а)

б)

в)

г)

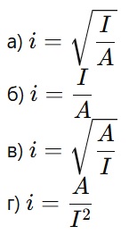
Запитання 8

Радіус інерції перерізу визначається як:

варіанти відповідей

а)

б)

в)

г)

Запитання 9

При шарнірному закріпленні обох кінців стержня коефіцієнт μ дорівнює:


варіанти відповідей

а) 0,5


б) 1

в) 2

г) 4


Запитання 10

При жорсткому закріпленні обох кінців μ дорівнює:


варіанти відповідей

а) 0,5

б) 1


в) 2

г) 4


Запитання 11

При одному жорсткому і одному вільному кінці μ дорівнює:


варіанти відповідей

а) 0,5

б) 1


в) 2


г) 0,7


Запитання 12

Втрата стійкості може відбутися:


варіанти відповідей

а) без руйнування матеріалу

б) при напруженнях менших за границю текучості


в) при напруженнях більших за границю пропорційності


г) тільки після руйнування


Запитання 13

Формула Ейлера справедлива:


варіанти відповідей

а) при малих гнучкостях


б) при великих гнучкостях

в) у межах пружних деформацій


г) у пластичній області


Запитання 14

Для стержнів середньої гнучкості застосовують:


варіанти відповідей

а) формулу Ейлера

б) емпіричні формули

в) формулу Ясинського

г) формулу Гука


Запитання 15

Формула Ф.С. Ясинського враховує:


варіанти відповідей

а) пластичні властивості матеріалу

б) тільки геометрію

в) вплив границі пропорційності

г) температуру


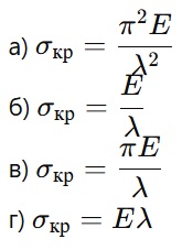
Запитання 16

 Критичне напруження за Ейлером визначається як:

варіанти відповідей

а)

б)

в)

г)

Запитання 17

Зі збільшенням гнучкості стержня критичне напруження:


варіанти відповідей

а) зростає

б) зменшується

в) не змінюється

г) спочатку зростає, потім зменшується


Запитання 18

Проектний розрахунок стержня на стійкість передбачає:


варіанти відповідей

а) визначення критичної сили


б) вибір матеріалу

в) підбір площі поперечного перерізу

г) перевірку за допустимим напруженням


Запитання 19

Мінімальний момент інерції перерізу використовується тому, що:


варіанти відповідей

а) в цій площині стержень найменш жорсткий

б) в цій площині найбільша міцність

в) це дає найбільшу критичну силу


г) це забезпечує економію матеріалу


Запитання 20

Втрата стійкості — це:


варіанти відповідей

а) руйнування матеріалу


б) перехід системи в нову форму рівноваги

в) різке зростання прогину


г) перевищення границі текучості


Створюйте онлайн-тести
для контролю знань і залучення учнів
до активної роботи у класі та вдома

Створити тест