Самостійна робота функція y=k/x

Додано: 16 грудня 2025
Предмет: Математика, 8 клас
11 запитань
Запитання 1

Розв'яжіть рівняння

варіанти відповідей

-10; 10

10

-10

коренів не має

Запитання 2

Розв'яжіть рівняння

варіанти відповідей

-10;10

10

-10

коренів не має

Запитання 3

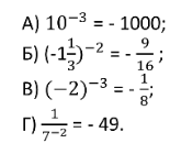
Яка з наведених рівностей є правильною?

варіанти відповідей

А

Б

В

Г

Запитання 4

Як записують у стандартному вигляді число 42 000?

варіанти відповідей

А

Б

В

Г

Запитання 5

Як записують у вигляді десяткового дробу число 6,3* 10-3?

варіанти відповідей

0,63

0,063

0,0063

0,00063

Запитання 6

Подайте число 1/25 у вигляді степеня з основою 5

варіанти відповідей

5-2

52

5-3

53

Запитання 7

Знайдіть значення виразу

варіанти відповідей

81

1/81

27

1/27

Запитання 8

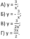
Яка з даних функцій не є оберненою пропорцією?

варіанти відповідей

А

Б

В

Г

Запитання 9

На одному з рисунків зображено графік функції у=- 4/х . Укажіть цей рисунок.

варіанти відповідей

А

Б

В

Г

Запитання 10

При якому значенні k графік функції у= k/х проходить через точку А (-3 ; 0,6)

варіанти відповідей

-1,8

-0,2

-2,4

-3,6

Запитання 11

Розв'яжіть рівняння

варіанти відповідей

0 ; 4

-4 ; 0

-4

0

Створюйте онлайн-тести
для контролю знань і залучення учнів
до активної роботи у класі та вдома

Створити тест