Узагальнення і систематизація знань учнів з курсу математики 5 класу

Додано: 3 квітня
Предмет: Математика, 5 клас
6 запитань
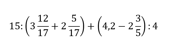
Запитання 1

Знайдіть значення виразу:

варіанти відповідей

8,804

5,634

191,454

0,879

Запитання 2

Поїзд проїхав 168,3 км за 3,4 год. Скільки кілометрів він проїде за 5,8 год з тією самою швидкістю?

варіанти відповідей

278,1 км

187,2 км

287,1 км

182,7 км

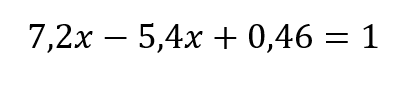
Запитання 3

Розв'яжіть рівняння:

варіанти відповідей

0,2

0,25

0,3

0,35

Запитання 4

Довжина прямокутного паралелепіпеда дорівнює 80 см. Його ширина становить ⅗ довжини і 40% висоти. Обчисліть об'єм паралелепіпеда.

варіанти відповідей

460800 см3

480600 см3

406080 см3

468000 см3

Запитання 5

Знайдіть значення виразу:

варіанти відповідей

2,7

2,8

2,9

3,0

Запитання 6

Коли автомобіль проїхав 0,2 , а потім ще 0,15 усього шляху, то виявилось, що він проїхав на 18 км менше від половини шляху, який треба було проїхати. Скільки кілометрів мав проїхати автомобіль?

варіанти відповідей

100 км

110 км

120 км

130 км

Створюйте онлайн-тести
для контролю знань і залучення учнів
до активної роботи у класі та вдома

Створити тест