Звичайні дроби

Додано: 11 лютого
Предмет: Математика, 5 клас
10 запитань
Запитання 1

Яка з нерівностей правильна?

варіанти відповідей
Запитання 2

Який із запропонованих дробів є правильним?

варіанти відповідей
Запитання 3

Автобус має проїхати 80 км. За першу годину він подолав 9/16 цієї відстані. Скільки кілометрів проїхав автобус за першу годину?

варіанти відповідей

45 км.

55 км.

65 км.

Запитання 4

Перетворіть неправильний дріб у мішане число

варіанти відповідей
Запитання 5

Знайдіть значення виразу

варіанти відповідей
Запитання 6

Знайдіть значення виразу

варіанти відповідей
Запитання 7

Першого дня магазин продав 40 кг цукерок, що становить 2/5 завезених до магазину цукерок. Скільки кілограмів цукерок залишилось у магазині?

варіанти відповідей

16 кг.

60 кг.

100 кг.

Запитання 8

Розв’яжіть рівняння

варіанти відповідей

Х=4

Х=36

X=63

X=16

Запитання 9

Розв'яжіть задачу

варіанти відповідей
Запитання 10

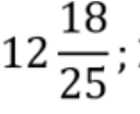
Перетворіть  мішане число у неправильний дріб

варіанти відповідей

Створюйте онлайн-тести
для контролю знань і залучення учнів
до активної роботи у класі та вдома

Створити тест