7 клас НУШ Тест до Практичної роботи №4 на тему: "Додавання символів, формул".

Додано: 23 грудня 2025
Предмет: Інформатика, 7 клас
9 запитань
Запитання 1

Натискання якої клавіші приводить до видалення символу, розташованого в тексті праворуч від курсору? Запишіть англійськими малими літерами її повну назву.

варіанти відповідей

ctrl

delete

Shift

Alt

Запитання 2

У документах Google можна додавати різні об’єкти. Відповідні вказівки можна знайти в меню 

варіанти відповідей

Файл

Вигляд

Вставити

Формат

Запитання 3

Щоб додати до документа спеіальні символи, використовують вікно Вставити спеціальні символи, яке викликають вказівкою 

варіанти відповідей

Рівняння

Символ

Текстове поле

WordArt

Запитання 4

Щоб додати до документа формули використовують вказівку

варіанти відповідей

Рівняння

Символ

Текстове поле

WordArt

Запитання 5

У документах Google можна використати готові шаблони. Відповідні вказівки можна знайти в меню ...

варіанти відповідей

Файл

Інструменти

Розширення

Запитання 6

У текстовому документі є можливість використовувати різні шаблони рівнянь.

варіанти відповідей

Так

Ні

Запитання 7

Для додавання формули в текстовий документ використовують такі шаблони рівнянь, як ...

варіанти відповідей

дріб

індекс

корінь

інтеграл

Запитання 8

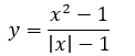
Для додавання такої формули в текстовому документі використовують такі шаблони рівнянь, як: ...

варіанти відповідей

дріб

індекс

дужка

корінь

Запитання 9

Для завершення створення формули слід клацнути правою кнопкою миші за її межами 

варіанти відповідей

Так

Ні

Створюйте онлайн-тести
для контролю знань і залучення учнів
до активної роботи у класі та вдома

Створити тест