Д/Р. Відношення. Пропорція. Пряма пропорційна залежність. Масштаб

Додано: 15 грудня
Предмет: Математика, 6 клас
12 запитань
Запитання 1

Знайди відношення 2 год до 40 хв.

варіанти відповідей

2 : 40

120 : 40

3 : 1

1 : 20

Запитання 2

Чи зміниться відношення двох чисел, якщо кожне з них помножити (поділити) на одне й те саме, відмінне від нуля, число.

варіанти відповідей

Зміниться

Не зміниться

Збільшиться

Зменшиться

Запитання 3

Чи буде даний запис пропорцією 2:3 = 6:8?


варіанти відповідей

так

ні

Запитання 4

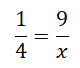
Розв’яжіть рівняння


варіанти відповідей

36

2,25

4/9

5

Запитання 5

Назвіть середні члени пропорції 5:25=25:125

варіанти відповідей

5 і 25

25 і 125

25 і 25

5 і 125

Запитання 6

Основна властивість пропорції:

варіанти відповідей

сума крайніх членів пропорції дорівнює сумі її середніх членів

добуток крайніх членів пропорції дорівнює добутку її середніх членів

частка крайніх членів пропорції дорівнює частці її середніх членів

різниця крайніх членів пропорції дорівнює різниці її середніх членів

Запитання 7

Із 48 кг свіжих помідорів одержують 16 кг томату. Скільки томату одержують із 72 кг свіжих помідорів?



варіанти відповідей

20кг

32кг

25кг

24кг

Запитання 8

Знайдіть відстань на карті з масштабом 1:1000 000, якщо відстань на місцевості дорівнює 20 км

варіанти відповідей

20 см

2 см

0, 2 см

Запитання 9

Як правильно записати масштаб карти, якщо один сантиметр на карті відповідає двом мільйонам сантиметрів на місцевості?

варіанти відповідей

1 : 200000

1 : 2000000

200000 :1

1: 2000

Запитання 10

Дано відношення 

Знайди обернене відношення

варіанти відповідей

0,8

5/4

1

4/5

Запитання 11

У п'ятому класі 35 учнів, із них 7 хлопчиків, а решта — дівчатка.

Чому дорівнює відношення числа хлопчиків до числа дівчаток? (нескоротний дріб)

варіанти відповідей

7:35

7:28

1:4

35:7

Запитання 12

Знайди правильну пропорцію:

варіанти відповідей

2 : 10 = 6 : 12

6 : 9 = 15 : 20

2 : 3 = 8 : 12

5 : 4 = 7 : 6

Створюйте онлайн-тести
для контролю знань і залучення учнів
до активної роботи у класі та вдома

Створити тест