Дії із звичайними дробами

Додано: 18 червня 2025
Предмет: Алгебра, 6 клас
12 запитань
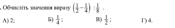
Запитання 1

Оберіть правильну відповідь

варіанти відповідей

А

Б

В

Г

Запитання 2

Оберіть правильну відповідь

варіанти відповідей

А

Б

В

Г

Запитання 3

Оберіть правильну відповідь

варіанти відповідей

А

Б

В

Г

Запитання 4

Оберіть правильну відповідь

варіанти відповідей

А

Б

В

Г

Запитання 5

Оберіть правильну відповідь

варіанти відповідей

А

Б

В

Г

Запитання 6

Оберіть правильну відповідь

варіанти відповідей

А

Б

В

Г

Запитання 7

Оберіть правильну відповідь

варіанти відповідей

А

Б

В

Г

Запитання 8

Оберіть правильну відповідь

варіанти відповідей

А

Б

В

Г

Запитання 9

Оберіть правильну відповідь

варіанти відповідей

А

Б

В

Г

Запитання 10

Оберіть правильну відповідь

варіанти відповідей

А

Б

В

Г

Запитання 11

Оберіть правильну відповідь

варіанти відповідей

А

Б

В

Г

Запитання 12

Оберіть правильну відповідь

варіанти відповідей

А

Б

В

Г

Створюйте онлайн-тести
для контролю знань і залучення учнів
до активної роботи у класі та вдома

Створити тест