Діагностична робота No2 «Відсотки. Додавання і віднімання дробів з різними знаменниками та мішаних чисел»

Додано: 21 жовтня 2025
Предмет: Математика, 6 клас
12 запитань
Запитання 1

Як записується число 0,65 у вигляді відсотків?

варіанти відповідей

6,5%

65%

0,65%

650%

Запитання 2

Чому дорівнює 60% від 230?

варіанти відповідей

383,33

170

138

190

Запитання 3

Знайти число, якщо 8% його дорівнюють 24.

варіанти відповідей

84

33,33

1,92

300

Запитання 4

Як додати дроби з різними знаменниками?

варіанти відповідей

Звести до спільного знаменника, а потім застосувати правило додавання дробів з однаковими знаменниками

Звести до спільного знаменника, а потім окремо додати чисельники і окремо знаменники

Знаменником нового дробу буде сума знаменників, а чисельником - сума чисельників

Чисельники додати, а знаменником вибрати більше число

Запитання 5

Обчисліть вираз

варіанти відповідей
Запитання 6

Обчисліть вираз

варіанти відповідей
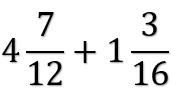
Запитання 7

Обчисліть


варіанти відповідей
Запитання 8

Обчисліть


варіанти відповідей
Запитання 9

Що означає скоротити дріб?

варіанти відповідей

 Поділити чисельник і знаменник на 2

 Поділити чисельник і знаменник на спільний дільник

 Помножити чисельник і знаменник на одне і те ж число

Запитання 10

познач нескоротний дріб

варіанти відповідей

4/16

20/100

1/17

17/34

Запитання 11

Знайдіть десяткове наближення дробу округлене до тисячних






варіанти відповідей

 0,66

 

0,665


 0,667


 0,67

Запитання 12

Округлять до десятих і обчисліть: 3,(3) + 7,(7) − 9,(9)


 


варіанти відповідей

1


 0,9


 1,1

 

1,2

Створюйте онлайн-тести
для контролю знань і залучення учнів
до активної роботи у класі та вдома

Створити тест