Діагностична робота. Степінь з цілим показником. Стандартний вигляд числа. Функція у=k/x.

Додано: 15 грудня 2025
Предмет:
12 запитань
Запитання 1

Подайте вираз у вигляді дробу

варіанти відповідей
Запитання 2

Яке з наведених чисел записане в стандартному вигляді?

варіанти відповідей

3⋅10-6

0,7⋅105

1,8⋅ 2-10

1/3⋅103

Запитання 3

Подайте у вигляді виразу, що не містить степеня з від’ємним показником:

(3,5a3b-7):(0,5a-4b-2)

варіанти відповідей

 0,7a7/b5

 7a7b-5

 7a7/b-5

 0,7a-1/b-9

Запитання 4

Подайте у вигляді виразу, що не містить степеня з від’ємним показником:

Розв'язок прикріпити в Класрумі.

варіанти відповідей

Надсилаю

Не надсилаю

Запитання 5

Обчисліть:

Розв'язок прикріпити в Класрумі

варіанти відповідей

Надсилаю

Не надсилаю

Запитання 6

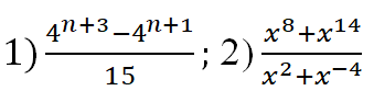
Скоротіть дроби:

Розв'язок прикріпити в Класрумі

варіанти відповідей

Надсилаю

Не надсилаю

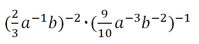
Запитання 7

Спростіть вираз:

Розв'язок прикріпити в Класрумі

варіанти відповідей

Надсилаю

Не надсилаю

Запитання 8

Укажіть графіки до розв'язання рівняння

варіанти відповідей
Запитання 9

Обчисліть (-5)-3

варіанти відповідей

15

1/25

-1/125

1/125

Запитання 10

Обчисліть (-5)3

варіанти відповідей

-125

125

-1/125

1/125

Запитання 11

Чому дорівнює значення виразу

варіанти відповідей

36

9/4

4/9

6

Запитання 12

Спростити: (а3)-7 *(а-4)-5 : (а-5)8

варіанти відповідей

а39


а-39


а41

а-41

Створюйте онлайн-тести
для контролю знань і залучення учнів
до активної роботи у класі та вдома

Створити тест