Ділення раціональних чисел

Додано: 21 березня 2025
Предмет: Математика, 6 клас
11 запитань
Запитання 1

Знайдіть значення виразу: (1/4 + 1/5) : 9/10


варіанти відповідей

1/2

1/4


1/6

1/8

Запитання 2

Додатнім чи відʼємним є число а, якщо

3,4 : а < 0 ?


варіанти відповідей

відʼємним

Додатнім

не знаю

визначити не можливо

Запитання 3

Додатнім чи відʼємним є число а ,якщо

-5: а < 0


варіанти відповідей

відʼємним

додатнім

ні відʼємним ,ні додатнім

визначити не можливо

Запитання 4

Чи є значення виразу -1,2 :(-0,4) : (-2 ⅓) цілим числом ?


варіанти відповідей

так

ні

не знаю

обчислити не можливо

Запитання 5

Обчисліть значення виразу -12 : а , якщо а дорівнює -60


варіанти відповідей

-0,2

0,2

2

-2

Запитання 6

Чому дорівнює частка чисел -5,4 і 0,18

варіанти відповідей

-3

3

-30

-300

Запитання 7

Вкажіть коефіцієнт буквеного виразу −ас

варіанти відповідей

1

−1

немає коефіцієнта

0

Запитання 8

Обчислити: 0:(-8-4)

варіанти відповідей

-12

0

12

-4

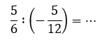
Запитання 9

Обчислити:

варіанти відповідей

2

-2

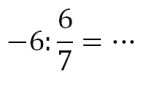
Запитання 10

Обчисліть:

варіанти відповідей

7

-7

Запитання 11

Обчислити

варіанти відповідей

Створюйте онлайн-тести
для контролю знань і залучення учнів
до активної роботи у класі та вдома

Створити тест