Ділення раціональних чисел

Додано: 31 березня 2025
Предмет: Математика, 6 клас
10 запитань
Запитання 1

Знайти х, якщо -х ⋅ 4 = - 100

варіанти відповідей

-104

-25

25

96

Запитання 2

Знйти частку -1⅓ : ( -⅔ )

варіанти відповідей

½

-2

2

Запитання 3

Знайти частку -0,6 : 0,2

варіанти відповідей

- 3

3

- 6∕2

Запитання 4

Указати результат ділення: 6 : ( - ⅔)

варіанти відповідей

- 1/9

16∕3

-4

-9

Запитання 5

Порівняти 5 ⅔ : 5 і 4 ½ : 4

варіанти відповідей

Перший вираз більший за другий вираз

Другий вираз більший за перший вираз

Вирази рівнв між собою

Порівняти неможливо

Запитання 6

Обчисліть:

( ¼ − ( ¼ + ¹∕₉ ) : ¹⁄₉) ⋅ ( ⅔ + ⁷⁄₁₅ : ( 0,4 - ¹∕₆ )).

варіанти відповідей

24

-8

8

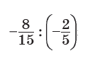
Запитання 7

Обчислити

варіанти відповідей

2,5

4,5

-3,5

- 4,5

Запитання 8

Обчислити

варіанти відповідей

1⁄3

-⅔

-4⁄3

4⁄3

Запитання 9

Обчислити частку 3,2 : ( - 0,08)

варіанти відповідей

-4

40

4

-40

Запитання 10

Обчислити:

(-6) : (-2) + ( -8) : 4 - (-2)

варіанти відповідей

1

7

-1

3

Створюйте онлайн-тести
для контролю знань і залучення учнів
до активної роботи у класі та вдома

Створити тест