Ділення раціональних чисел

Додано: 24 травня
Предмет: Математика, 6 клас
10 запитань
Запитання 1

Знайди частку:

-0,72 : 0,8

варіанти відповідей

9

0,09

-0,9

Запитання 2

Обчисли:


варіанти відповідей
Запитання 3

Знайди значення виразу:

3,6: (-0,6) + (-28) : (-7) - 1,5 : 0,5

варіанти відповідей

- 7

- 0,27

- 5

-0,14

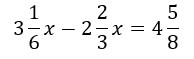
Запитання 4

Роз'яжи рівняння:


варіанти відповідей
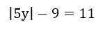
Запитання 5

Розв'яжи рівняння:


варіанти відповідей

рівняння розв'язків не має

у = - 4

у1 = 4; у2 = - 4

у = 4

Запитання 6

Обчисли:

23,5 : 0,5 - 1,6 : 0,04 + 36,9 : 0,03

варіанти відповідей

12,67

1237

-12,57

-1247

Запитання 7

Знайди корені рівняння:

4,05 : (-х) = -0,9

варіанти відповідей

4,5

-0,45

0,45

-4,5

Запитання 8

Обчисли:

-3,5 : 0,7

варіанти відповідей

-0,7

-0,5

-5

-0,05

Запитання 9

Обчисли:

(-84,2-15,8) : (-0,01)

варіанти відповідей

-1

1

0,01

-0,01

Запитання 10

Обчисли:

15 : (-15) - (-24) : 8

варіанти відповідей

-2

2

-22

22

Створюйте онлайн-тести
для контролю знань і залучення учнів
до активної роботи у класі та вдома

Створити тест