Ділення раціональних чисел

Додано: 16 березня
Предмет: Математика, 6 клас
12 запитань
Запитання 1

- 6,3 : ( - 0,9 ) =...

варіанти відповідей

7

- 7

- 0,7

0,7

Запитання 2

12 : х = - 0,4

х =...

варіанти відповідей

-3

3

-30

30

-48

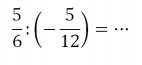
Запитання 3

Обчислити:

варіанти відповідей
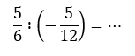
Запитання 4

Обчисліть:

варіанти відповідей
Запитання 5

- 50 : 5

варіанти відповідей

- 10

- 1

10

250

Запитання 6

- 36 : ( - 6) =...

варіанти відповідей

- 2

- 6

6

2

Запитання 7

0,24 : ( -8) =...

варіанти відповідей

- 0,3

- 3

0,3

-0,03

0,03

Запитання 8

Розв'яжіть рівняння:

варіанти відповідей

1,1

- 1,1

0,044

0,44

0,11

- 0,044

Запитання 9

- 6,7 : х = 0,01

х = ...

варіанти відповідей

67

670

0,67

- 670

- 0,67

Запитання 10

Обчисліть:

варіанти відповідей

7

- 7

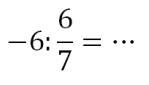
Запитання 11

Обчисліть:

варіанти відповідей

2

- 2

Запитання 12

Обчисліть:

варіанти відповідей

Створюйте онлайн-тести
для контролю знань і залучення учнів
до активної роботи у класі та вдома

Створити тест