Ділення раціональних чисел

Додано: 20 березня
Предмет: Математика, 6 клас
15 запитань
Запитання 1


Який вираз відповідає розподільній властивості множення?


варіанти відповідей


А) a(b + c) = ab + ac



Б) a + (b + c) = (a + b) + c



В) ab = ba



Г) a(b - c) = ab - c


Запитання 2


Обчисли найзручнішим способом:

25 • 48 + 25 • 52


варіанти відповідей

1000

2500

400

25

Запитання 3


Спрости вираз:

5(a + 2) + 3(a + 2)


варіанти відповідей

8а + 16

16а + 8

а + 168

а - 18

Запитання 4

- 6,3 : ( - 0,9 ) =...

варіанти відповідей

7

- 7

- 0,7

0,7

Запитання 5

12 : х = - 0,4

х =...

варіанти відповідей

-3

3

-30

30

-48

Запитання 6

Обчислити:

варіанти відповідей
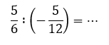
Запитання 7

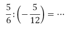
Обчисліть:

варіанти відповідей
Запитання 8

- 50 : 5

варіанти відповідей

- 10

- 1

10

250

Запитання 9

- 36 : ( - 6) =...

варіанти відповідей

- 2

- 6

6

2

Запитання 10

0,24 : ( -8) =...

варіанти відповідей

- 0,3

- 3

0,3

-0,03

0,03

Запитання 11

Розв'яжіть рівняння:

варіанти відповідей

1,1

- 1,1

0,044

0,44

0,11

- 0,044

Запитання 12

- 6,7 : х = 0,01

х = ...

варіанти відповідей

67

670

0,67

- 670

- 0,67

Запитання 13

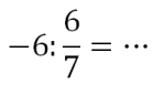
Обчисліть:

варіанти відповідей

7

- 7

Запитання 14

Обчисліть:

варіанти відповідей

2

- 2

Запитання 15

Обчисліть:

варіанти відповідей

Створюйте онлайн-тести
для контролю знань і залучення учнів
до активної роботи у класі та вдома

Створити тест