ділення звичайних дробів

Додано: 23 жовтня 2025
Предмет: Математика, 6 клас
7 запитань
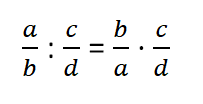
Запитання 1

Правило ділення звичайних дробів:

варіанти відповідей
Запитання 2

Виконайте ділення:

3/5 : 7/9

варіанти відповідей
Запитання 3

Якщо 1 поділити на дріб, то отримаємо ...

варіанти відповідей

 одиницю

дріб, обернений до даного

такий самий дріб

   визначити неможливо

Запитання 4

Виконай дію  7/19 : 14/57

варіанти відповідей

 2/3

 3/2

 57/38

 7/57

Запитання 5

Виконай дію  5 : 1/5

варіанти відповідей

 1/25

 5

25

1

Запитання 6



варіанти відповідей
Запитання 7

Який шлях подолає мотоцикліст за 7/12 години, якщо його швидкість 60км/год?

варіанти відповідей

35 км

30 км

49 км

19 км

Створюйте онлайн-тести
для контролю знань і залучення учнів
до активної роботи у класі та вдома

Створити тест