Додавання і віднімання раціональних чисел. Розкриття дужок

Додано: 8 березня 2025
Предмет: Математика, 6 клас
14 запитань
Запитання 1

Як правильно розкрити дужки у виразі?

варіанти відповідей
Запитання 2

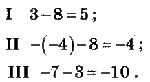
Укажіть всі правильно виконані дії.

варіанти відповідей
Запитання 3

Запишіть різницю виразів 9-a і 11-a та спростить її.

варіанти відповідей
Запитання 4

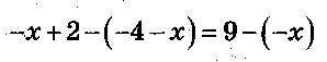
Розкрийте дужки у виразі та спростіть його.

варіанти відповідей
Запитання 5

Знайдіть значення виразу

варіанти відповідей
Запитання 6

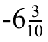
Знайдіть значення виразу

варіанти відповідей
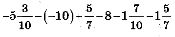
Запитання 7

Знайдіть значення виразу

варіанти відповідей
Запитання 8

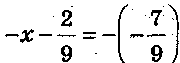
Розв'яжіть рівняння

варіанти відповідей
Запитання 9

Розв'яжіть рівняння

варіанти відповідей
Запитання 10

Розв'яжіть рівняння

варіанти відповідей
Запитання 11

Знайдіть значення виразу

варіанти відповідей
Запитання 12

Виконайте дії і порівняйте значення виразів

варіанти відповідей

>

<

=

Запитання 13

Розв'яжіть рівняння

варіанти відповідей
Запитання 14

Знайдіть сумму всіх цілих чисел, які є розв'язками обох нерівностей

варіанти відповідей

Створюйте онлайн-тести
для контролю знань і залучення учнів
до активної роботи у класі та вдома

Створити тест