Додавання від'ємних чисел. Додавання чисел з різними знаками.

Додано: 4 лютого
Предмет: Математика, 6 клас
16 запитань
Запитання 1

Сума чисел 5,1 + (-5,1) =

варіанти відповідей

0

10,2

11

-10,2

Запитання 2

Обчисли: -11,2 + (-6,8) =

варіанти відповідей

4,4

-4,4

-18

18

Запитання 3

Який вираз дорівнює 0?

варіанти відповідей

-5 + (-5)

12 + (-12)

6+6

10-9

Запитання 4

Обчисли:

8,2 + (-108,2) =

варіанти відповідей

-100

116,4

-116,4

0

Запитання 5

Обчисли:

-115 +(-115)=

варіанти відповідей

0

230

-300

-230

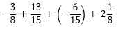
Запитання 6




варіанти відповідей

- 10 ⅙

9 ⅓

- 9 ⅔

10 ⅕

Запитання 7

Обчислити -127+(-315)

варіанти відповідей

- 442

442

-188

188

Запитання 8

Обчислити -574+286

варіанти відповідей

288

860

- 860

- 288

Запитання 9

Обчислити

-2,5+(-3,7)=

варіанти відповідей

-1,2

1,2

6,2

-6,2

Запитання 10

Обчислити

-3,7+2,5=

варіанти відповідей

-1,2

1,2

6,2

-6,2

Запитання 11

Обчислити

-2,5+6,05=

варіанти відповідей

3,55

-3,55

3,45

-3,45

Запитання 12

Обчислити 127+(-315)

варіанти відповідей

- 442

442

-188

188

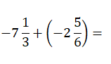
Запитання 13

Знайди значення виразу:


варіанти відповідей
Запитання 14

Обчисли:

-2 + 22,5 + (-22,5) +12

варіанти відповідей

10

- 10

0,5

- 0,5

Запитання 15

Обчислити -574+(-286)

варіанти відповідей

288

860

- 860

- 288

Запитання 16

Обчислити -127+315

варіанти відповідей

- 442

442

-188

188

Створюйте онлайн-тести
для контролю знань і залучення учнів
до активної роботи у класі та вдома

Створити тест