Експрес-тест. Раціональні вирази. Раціональні дроби

Додано: 16 вересня 2025
Предмет: Математика, 8 клас
6 запитань
Запитання 1

Раціональний вираз - це вираз, що містить дії...

варіанти відповідей

множення і ділення

додавання та віднімання

піднесення до степеня

всі вищенаведені дії

Запитання 2

Цілий раціональний вираз відрізняється від дробового раціонального виразу тим, що він

варіанти відповідей

є многочленом

містить в собі дію додавання, множення, ділення, віднімання, піднесення до степеня

не містить ділення на змінну

це одне й те саме, нічим не відрізняється

Запитання 3

Раціональний дріб - це вираз виду, *****, де P і Q - многочлени

варіанти відповідей

P + Q

P ÷ Q

P - Q

P × Q

Запитання 4

Допустимі значення виразу - це

варіанти відповідей

числа, при яких має сенс вираз

числа, при яких знаменник раціонального дробу не дорівнює 0

раціональні числа

будь-які числа

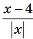
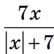
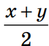
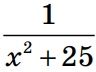
Запитання 5

Оберіть ті раціональні вирази з поданих, які є дробовими:

варіанти відповідей

всі є дробовими

Запитання 6

Оберіть ті вирази, областю допустимих значень яких є всі раціональні числа:

варіанти відповідей

Створюйте онлайн-тести
для контролю знань і залучення учнів
до активної роботи у класі та вдома

Створити тест