Комплексна підсумкова робота за темою "Множення та ділення раціональних чисел"

Додано: 9 квітня
Предмет: Математика, 6 клас
16 запитань
Запитання 1

Виконай ділення -12 : 6. 

варіанти відповідей

6

-6

-2

2

Запитання 2

Знайди корінь рівняння х + 3 = -2.

варіанти відповідей

1

-5

- ⅔

-1

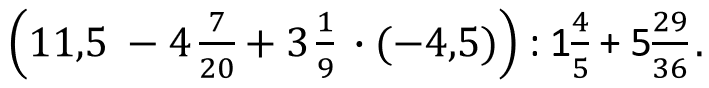
Запитання 3

Обчислити

варіанти відповідей
Запитання 4

Розв’яжи рівняння 

Записати повне розв'язання до зошита

варіанти відповідей

- 2

2

Запитання 5

24 яблука розклали в кошик і ящик так, щоб яблук у ящику було вдвічі більше, ніж у кошику. Скільки яблук поклали в кошик?

Записати до зошита коротку умову та розв'язок задачі

варіанти відповідей

12

10

8

6

Запитання 6

Знайди значення виразу

Записати повне розв'язання до зошита

варіанти відповідей

- 36

36

42

- 42

Запитання 7

Розв’яжи рівняння 

Записати повне розв'язання до зошита

варіанти відповідей

- 1

1

- 4

4

Запитання 8

Велосипедистка долає відстань від міста до села за 2,5 год, а пішохід - за 6 год. Знайди швидкість велосипедистки, якщо вона на 7 км/год більша за швидкість пішохода.


Записати повне розв'язання до зошита

варіанти відповідей

12 км/год

5 км/год

14 км/год

18 км/год

Запитання 9

Знайди 20 % від значення виразу


Записати повне розв'язання до зошита

варіанти відповідей

0,2

0,3

0,4

0,6

Запитання 10

Добутком двох чисел з різними знаками є число...

варіанти відповідей

Відємне

Додатнє

Нуль

Неможливо визначити

Запитання 11

Добутком двох відємних чисел є число...

варіанти відповідей

Відємне

Додатнє

Нуль

Неможливо визначити

Запитання 12

Частка від ділення двох відємних чисел є числом...

варіанти відповідей

Відємним

Додатнім

Нуль

Неможливо визначити

Запитання 13

Що не можна робити з рівнянням...

варіанти відповідей

Зводити подібні доданки

Множити, або ділити обидві частини рівняння на одне й те саме число

Переносити доданки з однієї частини рівняння в іншу

Переносити доданки з однієї частини рівняння в іншу помінявши при цьому знаки на протилежні

Запитання 14

Обчисліть (–3 + (–5)) · 6.

варіанти відповідей

-12

48

12

-48

-33

Запитання 15

Укажіть вираз, значення якого є цілим числом.

варіанти відповідей

–2,5 + 3,2

–2,4 · 5 

3,6 : (–3)

4,7 – 9,2 

–2,1 – (–4,9)

Запитання 16

Обчисліть (–8 – (–2)) : (–4).

варіанти відповідей

2,5

1,5

-1,5

-2,5

-2

Створюйте онлайн-тести
для контролю знань і залучення учнів
до активної роботи у класі та вдома

Створити тест