Контрольна робота Хімічний склад клітини. Особливості будови клітин

Додано: 17 жовтня 2025
Предмет: Біологія, 9 клас
20 запитань
Запитання 1

До макроелементів належить…

варіанти відповідей

Cu

Hg

F

N

Запитання 2

Білок, який є ферментом

варіанти відповідей

кератин

пепсин

гемоглобін

інсулін

Запитання 3

Моносахаридом є…

варіанти відповідей

сахароза

рибоза

целюлоза

хітин

Запитання 4

Основний носій спадкової інформації в клітинах

варіанти відповідей

ДНК

РНК

АТФ

дезоксирибоза

Запитання 5

Мембранною органелою є…

варіанти відповідей

цитоскелет

рибосома

мітохондрія

джгутик

Запитання 6

Хлорофіл накопичується в…

варіанти відповідей

ендоплазматичній сітці

мітохондріях

одному з типів пластид

комплексі Гольджі

Запитання 7

Органела, у якій здійснюються модифікація білків та упаковування синтезованих продуктів у гранули:

варіанти відповідей

ядро

лізосома

комплекс Гольджі

вакуоля

Запитання 8

Молекула, яка містить макроергічні зв’язки:

варіанти відповідей

ДНК

РНК

АТФ

дезоксирибоза

Запитання 9

Білок, який виконує транспортну функцію:

варіанти відповідей

кератин

пепсин

гемоглобін

інсулін

Запитання 10

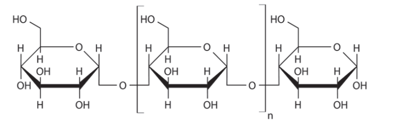
На рисунку зображено молекулу…

варіанти відповідей

білка

ліпіда

вуглевода

кислоти

Запитання 11

На рисунку зображено…

варіанти відповідей

лізосому

вакуолю

ендоплазматичну сітку

комплекс Гольджі

Запитання 12

Прочитай твердження. Визнач, яке / які з них є правильним / правильними.

• Білки можуть виконувати регуляторну функцію.

• Ліпіди погано розчиняються у воді.

варіанти відповідей

Обидва

лише друге

лише перше

обидва неправильні

Запитання 13

Прочитай твердження. Визнач, яке / які з них є правильним / правильними.

• В утворенні третинної структури білкових молекул беруть участь тільки водневі зв’язки.

• ДНК є вуглеводом.

варіанти відповідей

Обидва

лише друге

лише перше

обидва неправильні

Запитання 14

Прочитай твердження. Визнач, яке / які з них є правильним / правильними.

• Рибосоми наявні в еукаріотичних клітинах.

• Мітохондрія є двомембранною органелою.

варіанти відповідей

Обидва

лише друге

лише перше

обидва неправильні

Запитання 15

Прочитай твердження. Визнач, яке / які з них є правильним / правильними.

• Хромосоми утворюються в ядрі.

• У клітинах еукаріотів відсутній цитоскелет.

варіанти відповідей

Обидва

лише друге

лише перше

обидва неправильні

Запитання 16

Схарактеризуй зображену молекулу

варіанти відповідей

це вуглевод

це білок

це полісахарид

це нуклеотид

це моносахарид

виконує структурну функцію

виконує запасальну функцію

Запитання 17

Схарактеризуй зображену органелу

варіанти відповідей

Зображена органела наявна тільки в прокаріотичних

клітинах

Зображена органела наявна тільки в еукаріотичних

клітинах

Зображена органела наявна і в прокаріотичних,

і в еукаріотичних клітинах

вона є немембранною органелою

вона є мембранною органелою

вона є двомембранною органелою

У цій органелі здійснюється синтез білків

У цій органелі здійснюється синтез ліпідів

Запитання 18

Увідповідни речовину (1–3) з групою (А–Г), до якої вона належить.

1 целюлоза

2 тестостерон

3 кератин


А білки

Б вуглеводи

В ліпіди

Г нуклеїнові кислоти

варіанти відповідей

1Б, 2В, 3А

1Г, 2В, 3А

1Б, 2А, 3В

1Б, 2В, 3Г

Запитання 19

Увідповідни органелу (1–3) з процесом (А–Г), який у ній відбувається.

1 комплекс Гольджі

2 рибосома

3 хлоропласт


А фотосинтез

Б модифікація білків

В синтез ліпідів

Г синтез білків

варіанти відповідей

1Б, 2Г, 3А

1Г, 2В, 3А

1Б, 2А, 3В

1Б, 2В, 3Г

Запитання 20

Увідповідни органелу (1–3) зі структурами (А–Г), що в ній містяться.

1 ядро

2 мітохондрія

3 хлоропласт

А грани

Б ядерця

В центріолі

Г кристи

варіанти відповідей

1Б, 2Г, 3А

1Г, 2В, 3А

1Б, 2А, 3В

1Б, 2В, 3Г

Створюйте онлайн-тести
для контролю знань і залучення учнів
до активної роботи у класі та вдома

Створити тест