"Множення і ділення звичайних дробів. Вправи на всі дії зі звичайними дробами".

12 запитань
Запитання 1

Знайдіть частку:

варіанти відповідей
Запитання 2

Знайти 6/7 від 21

варіанти відповідей

16

17

18

19

Запитання 3

1:7/10

варіанти відповідей

10/7

11/7

12/7

13/7

Запитання 4

Виконати множення дробів

варіанти відповідей
Запитання 5

Виконати множення дробів

варіанти відповідей
Запитання 6

Виконати множення дробів

варіанти відповідей
Запитання 7

Автомобіль за три години подолав 280 км. За першу го дину він подолав 7/ 20 цієї відстані, а за другу — 5/ 14 цієї відстані. Скільки кілометрів подолав автомобіль за третю годину?

варіанти відповідей

82

98

100

145

Запитання 8

Виконайте ділення:

3/5 : 7/9

варіанти відповідей
Запитання 9

Яку дію виконати неможливо?

варіанти відповідей
Запитання 10

Виконати ділення:

варіанти відповідей
Запитання 11

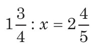
Розв'язати рівняння:

1/4:Х=7/16

варіанти відповідей

3/7

4/7

5/7

6/7

Запитання 12

Розв'яжіть рівняння

варіанти відповідей

8/5

5/8

1 3/5

7/8

Створюйте онлайн-тести
для контролю знань і залучення учнів
до активної роботи у класі та вдома

Створити тест