Множення раціональних чисел

Додано: 24 лютого
Предмет:
9 запитань
Запитання 1

Яка з рівностей неправильна?

варіанти відповідей

2(-5)=-10

-7⋅(-6)=-42

-36⋅2=-72

-4⋅(-12)= 48

Запитання 2

Оберіть усі правильні твердження:

варіанти відповідей

Добуток двох чисел з однаковими знаками є додатнім числом

При множенні двох чисел з різними знаками отримуємо від'ємне число

Якщо будь-яке від'ємне число помножити на нуль, то отримаємо від'ємне число

Результатом множення двох від'ємних чисел є від'ємне число

Добуток будь-якого числа на - 1 - є числом протилежним до нього

Запитання 3

Обчисліть: -3 ⋅ (-10) ⋅ 5 ⋅ 0

варіанти відповідей

0

150

- 150

визначити неможливо

Запитання 4

Не виконуючи обчислення, визначте, яким буде значення виразу: 8 ⋅ (-5) ⋅ (-12,7) ⋅ (-1) ⋅ 3,6 ⋅ (-158) ⋅ (-7)

варіанти відповідей

додатнім числом

нулем

від'ємним числом

визначити неможливо

Запитання 5

Порівняйте значення виразів: -5 ⋅ (-4) і 0,1 ⋅ 200.

варіанти відповідей

-5 ⋅ (-4) < 0,1 ⋅ 200

 -5 ⋅ (-4) = 0,1 ⋅ 200

-5 ⋅ (-4) > 0,1 ⋅ 200

неможливо порівняти

Запитання 6

Обчисліть: (-3)3

варіанти відповідей

9

- 9

27

- 27

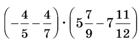
Запитання 7

Виконайте дії.

Фото розв'язання надішліть вчителю до Гуглкласу.

варіанти відповідей

13 2536

5, 5

інша відповідь

Запитання 8

Розв'яжіть рівняння. Фото розв'язання надішліть вчителю до Гуглкласу.

варіанти відповідей

- 129,8

- 2

- 24, 2

інша відповідь

Запитання 9

Серед трьох різних чисел a, b і c число a є найменшим,

а число c — найбільшим. Визначте знак числа b, якщо

abc < 0 і ab < 0. Відповідь обґрунтуйте. Фото розв'язання надішліть до Гуглкласу.

варіанти відповідей

додатне

від'ємне

визначити неможливо

Створюйте онлайн-тести
для контролю знань і залучення учнів
до активної роботи у класі та вдома

Створити тест