Множення раціональних чисел

Додано: 3 березня 2025
Предмет: Математика, 6 клас
10 запитань
Запитання 1

Не виконуючи обчислення, визначте, яким буде значення виразу:

9 ⋅ (-0,5) ⋅ (-12,7) ⋅ (-1) ⋅ 34,6 ⋅ (-15) ⋅ (-7) ⋅ (-7)

варіанти відповідей

додатнім числом

 визначити неможливо

від'ємним числом

 нулем

Запитання 2

Виконайте множення: -100 ⋅ (- 0,467)

варіанти відповідей

46,7

-46,7

4,67

-4,67

467

Запитання 3

Розв'яжи рівняння: -2,4х = 7,2

варіанти відповідей

30

3

-30

-3

Запитання 4

Знайти значення виразу:

(- 3,2 - 4,9) ⋅ (- 1,3)

варіанти відповідей

-8,1

9,4

10,53

-10,53

Запитання 5

Знайдіть значення виразу:

–16 + 8 ∙ (–0,5)

варіанти відповідей

-12

-20

12

20

Запитання 6

Знайдіть значення виразу:

(–2,9 + 2,5)2

варіанти відповідей

0,4

- 0,4

0,16

- 0,16

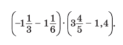
Запитання 7

Обчисліть:

варіанти відповідей

-6

12

6

-12

Запитання 8

Розв'яжіть рівняння:

(х - 4,8)⋅(х + 2,1) = 0

варіанти відповідей

х = - 4,8 або х = 2,1

х = 4,8 або х = - 2,1

х = 0 або х = - 2,1

х = 4,8 або х = 0

Запитання 9

Знайдіть значення виразу -35а, якщо а = - 0,5

варіанти відповідей

1,75

- 1,75

- 17,5

17,5

Запитання 10

Складіть числовий вираз і знайдіть його значення:

сума добутку чисел 25 і - 0,016 та квадрата числа -1,5

варіанти відповідей

- 1,85

-2,65

1,85

2,65

Створюйте онлайн-тести
для контролю знань і залучення учнів
до активної роботи у класі та вдома

Створити тест