Множення раціональних чисел

Додано: 1 квітня
Предмет: Математика, 6 клас
9 запитань
Запитання 1

Який знак буде мати відповідь, після піднесення до степеня?

(- 19,67)8

варіанти відповідей

мінус

плюс

не можливо визначити

Запитання 2

Який знак буде мати відповідь, після піднесення до степеня?

(- 352)5

варіанти відповідей

плюс

мінус

не можливо визначити

Запитання 3

Виконати множення:

- 25,4 ⋅ (-4)

варіанти відповідей

100,16

- 101,6

-25,4

101,6

Запитання 4

Виконати множення:

- 12,73 ⋅ 0,1

варіанти відповідей

127,3

-1273

-1,273

12,73

Запитання 5

Виконати множення:

3,4 ⋅ (- 3)

варіанти відповідей

10,2

-10,2

-9,2

9,2

Запитання 6

Виконати множення:

-0,14 ⋅ (-100)

варіанти відповідей

14

1,4

-1,4

-14

Запитання 7

Розв'яжіть рівняння (х+3)(х-4)=0. Результат надішліть для перевірки.

варіанти відповідей

Надсилаю

Не надсилаю

Запитання 8

Розв'яжіть рівняння х(2х+4,3)(1,8-х)=0. Результат надішліть для перевірки.

варіанти відповідей

Надсилаю

Не надсилаю

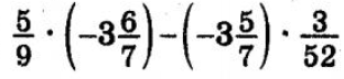
Запитання 9

Виконайте дії. Результат надішліть для перевірки.

варіанти відповідей

Надсилаю

Не надсилаю

Створюйте онлайн-тести
для контролю знань і залучення учнів
до активної роботи у класі та вдома

Створити тест