Множення раціональних чисел. Подібні доданки та їх зведення. Контрольна робота.

12 запитань
Запитання 1

Обчислити:

варіанти відповідей
Запитання 2

Обчисліть: -6,2 ⋅ 3,4 =

варіанти відповідей

-210,8

 -21,08

21,08

2,108

Запитання 3

Спростіть вираз: -2а + 5b + 6а - 9b =

варіанти відповідей

0

4а - 4b

4a + 4b

8ab

Запитання 4

Виконайте дії зручним способом:  -0,2 ⋅ (-45) ⋅ 5

варіанти відповідей

4,5

45

1

-45

18

-18

Запитання 5

Обчисліть:

Приклад розв'язати по діях, розв'язок прикріпити в Класрум

варіанти відповідей

Надсилаю

Не надсилаю

Запитання 6

Спростіть вираз: -2,5х ⋅ 2у

варіанти відповідей


5xy

 7,5xy

 -5xy

 -4,5xy

Запитання 7

Спростити вираз -0,12(х - 3) + 0,6(2х - 5)


варіанти відповідей

-2,64

-3,36

2,4х - 0,06

0,33

Запитання 8

Розв'яжіть рівняння:


Повний розв'язок прикріпити в Класрум



варіанти відповідей

Надсилаю

Не надсилаю

Запитання 9

Зведіть подібні доданки у виразі:  3y-8y

варіанти відповідей

11у

-5у

-11у

Запитання 10

Знайди значення виразу −5а − (4а − 3в), якщо в − 3а = −5.


Повний розв'язок прикріпити в Класрум

варіанти відповідей

-15

15

-10

 знайти неможливо

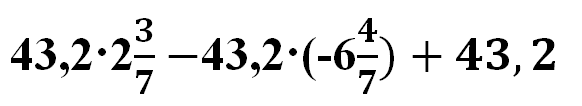
Запитання 11

Обчисли зручним способом 

варіанти відповідей

 388,8


43,2

 -432

 432

Запитання 12

Обчисліть: (-2)3

варіанти відповідей


-4

 4

6

-6

8

-8

Створюйте онлайн-тести
для контролю знань і залучення учнів
до активної роботи у класі та вдома

Створити тест