ОПМ Енергетичні методи визначення переміщень пружних систем.

Додано: 16 лютого
Предмет:
20 запитань
Запитання 1


варіанти відповідей

A. Добутку сили на жорсткість


B. Потенціальній енергії деформації

C. Кінетичній енергії

D. Моменту інерції


Запитання 2

2. Потенціальна енергія при осьовому розтяганні визначається формулою

варіанти відповідей

A

B

C

D

Запитання 3

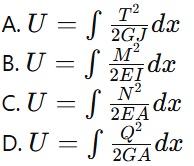
3. Потенціальна енергія при згинанні дорівнює


варіанти відповідей

A.

B.

C.

D.

Запитання 4

Теорема Бетті встановлює


варіанти відповідей

A. Закон Гука

B. Рівність взаємних робіт зовнішніх сил

C. Закон збереження енергії

D. Умову рівноваги


Запитання 5

Теорема Бетті справедлива для систем


варіанти відповідей

A. З пластичними деформаціями


B. Лінійно-пружних

C. Крихких


D. В’язкопружних


Запитання 6

Формула Максвелла–Мора використовується для


варіанти відповідей

A. Визначення напружень

B. Визначення реакцій опор

C. Визначення переміщень

D. Визначення жорсткості


Запитання 7

Формула Максвелла–Мора має вигляд

варіанти відповідей

A

B

C

D

Запитання 8

Величина M1 ​ у формулі Максвелла–Мора — це


варіанти відповідей

A. Реальний момент

B. Крутний момент

C. Допоміжний момент від одиничної сили

D. Поперечна сила

Запитання 9

Інтеграл Мора застосовується для


варіанти відповідей

A. Обчислення напружень

B. Обчислення прогинів і кутів повороту

C. Визначення реакцій


D. Обчислення площі перерізу


Запитання 10

Для визначення кута повороту за методом Мора прикладають


варіанти відповідей

A. Одиничний момент

B. Одиничну силу

C. Дві сили


D. Поперечну силу

Запитання 11

Метода множення епюр застосовують для

варіанти відповідей

A. Побудови епюр моментів

B. Обчислення інтегралів виду ∫MM1dx


C. Обчислення напружень


D. Визначення площі перерізу


Запитання 12

Суть метода множення епюр полягає в


варіанти відповідей

A. Інтегруванні методом частин


B. Множенні площі однієї епюри на ординату іншої під центром ваги


C. Диференціюванні епюр

D. Заміщенні сил моментами


Запитання 13

Енергетичні методи базуються на


варіанти відповідей

A. Законах кінематики

B. Принципі можливих переміщень

C. Законі Паскаля


D. Теорії міцності


Запитання 14

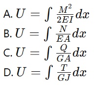
Потенціальна енергія при кручінні визначається

варіанти відповідей

A

B

C

D

Запитання 15

Якщо жорсткість бруса збільшується, то переміщення


варіанти відповідей

A. Збільшуються

B. Не змінюються

C. Зменшуються

D. Стають від’ємними


Запитання 16

Теорема взаємності Максвелла є наслідком


варіанти відповідей

A. Теорії міцності

B. Теореми Бетті


C. Закону Гука

D. Закону Ньютона


Запитання 17

Інтеграл Мора для згинання має вигляд

варіанти відповідей

A

B

C

D

Запитання 18

Енергетичні методи доцільні, коли


варіанти відповідей

A. Потрібно визначити лише напруження


B. Система статично невизначувана

C. Є тільки осьова сила

D. Матеріал пластичний


Запитання 19

Робота зовнішніх сил у пружній системі дорівнює


варіанти відповідей

A. Кінетичній енергії


B. Подвоєній потенціальній енергії

C. Потенціальній енергії деформації

D. Жорсткості системи


Запитання 20

Основна перевага енергетичних методів


варіанти відповідей

A. Простота визначення напружень


B. Можливість визначення переміщень без інтегрування

C. Можливість визначення переміщень у будь-якій точці системи


D. Відсутність необхідності знати жорсткість


Створюйте онлайн-тести
для контролю знань і залучення учнів
до активної роботи у класі та вдома

Створити тест