ОПМ Складний опір

Додано: 10 лютого
Предмет:
25 запитань
Запитання 1

1. Косе згинання має місце, якщо:


варіанти відповідей

A. Діє лише один згинальний момент


B. Діють згинальні моменти відносно двох головних осей перерізу


C. Діє тільки поздовжня сила

D. Балка має круглий переріз


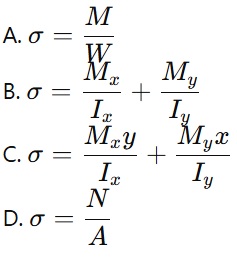
Запитання 2

Формула нормальних напружень при косому згинанні має вигляд:



варіанти відповідей

А

B

C

D

Запитання 3

При косому згинанні нормальні напруження змінюються:


варіанти відповідей

A. Лінійно вздовж осі балки

B. Нелінійно по всьому перерізу

C. Лінійно за координатами x та y перерізу

D. Стрибкоподібно


Запитання 4

Відносна деформація при косому згинанні визначається за формулою:

варіанти відповідей

A

B

C

D

Запитання 5

Максимальна деформація при косому згинанні виникає:

варіанти відповідей

A. На нейтральній осі

B. У центрі ваги перерізу

C. У крайніх волокнах перерізу

D. У будь-якій точці перерізу


Запитання 6

Якщо матеріал працює в межах пружності, зв’язок між σ і ε є:

варіанти відповідей

A. Квадратичним

B. Лінійним

C. Логарифмічним

D. Невизначеним


Запитання 7

Нейтральна вісь — це лінія, де:


варіанти відповідей

A. Максимальні напруження

B. Мінімальні напруження

C. Нормальні напруження дорівнюють нулю


D. Діють тільки дотичні напруження

Запитання 8

При косому згинанні нейтральна вісь:


варіанти відповідей

A. Завжди горизонтальна

B. Завжди вертикальна

C. Співпадає з віссю балки

D. Нахилена до головних осей перерізу


Запитання 9

Кут нахилу нейтральної осі залежить від:


варіанти відповідей

A. Лише геометрії перерізу

B. Лише величини моментів

C. Величини моментів та моментів інерції

D. Лише матеріалу балки


Запитання 10

Позацентрове навантаження викликає:

варіанти відповідей

A. Лише осьові напруження

B. Лише згинальні напруження

C. Сумісну дію осьових і згинальних напружень

D. Тільки кручення


Запитання 11

Згинальний момент при позацентровому навантаженні дорівнює:

варіанти відповідей

A

B

C

D

Запитання 12

Максимальні напруження при позацентровому стисканні виникають:

варіанти відповідей

A. У центрі перерізу

B. На нейтральній осі


C. У крайніх волокнах

D. Однакові по всьому перерізу


Запитання 13

Ядро перерізу — це область, у межах якої:

варіанти відповідей

A. Не виникає кручення

B. Не виникає згин

C. Відсутні розтягуючі напруження

D. Напруження максимальні


Запитання 14

Для прямокутного перерізу ядро має форму:

варіанти відповідей

A. Круга

B. Еліпса

C. Прямокутника

D. Трикутника


Запитання 15

Межі ядра прямокутного перерізу визначаються як:

варіанти відповідей

A

B

C

D

Запитання 16

Загальні нормальні напруження визначаються:


варіанти відповідей

A. Як добуток напружень

B. Як різниця напружень

C. За принципом суперпозиції

D. За емпіричною формулою

Запитання 17

Формула сумісної дії має вигляд:

варіанти відповідей

A

B

C

D

Запитання 18

Найбільші напруження при сумісній дії виникають:

варіанти відповідей

A. У центрі перерізу

B. На нейтральній осі

C. У крайніх волокнах

D. У середині балки


Запитання 19

При згинанні з крученням у перерізі виникають:

варіанти відповідей

A. Тільки нормальні напруження


B. Тільки дотичні напруження


C. Нормальні та дотичні напруження


D. Лише осьові напруження


Запитання 20

Дотичні напруження від кручення в круглому валі визначаються:

варіанти відповідей

A

B

C

D

Запитання 21

Для оцінки міцності при згинанні з крученням найчастіше застосовують:


варіанти відповідей

A. Теорію максимальних нормальних напружень

B. Теорію максимальних деформацій

C. Теорію Мізеса

D. Теорію стійкості


Запитання 22

Умова міцності має вигляд:

варіанти відповідей

A

B

C

D

Запитання 23

Допустиме напруження залежить від:

варіанти відповідей

A. Геометрії балки

B. Матеріалу та коефіцієнта запасу

C. Довжини балки

D. Типу навантаження


Запитання 24

Якщо еквівалентне напруження перевищує допустиме, то:


варіанти відповідей

A. Балка працює нормально

B. Міцність забезпечена

C. Необхідно зменшити переріз або навантаження

D. Розрахунок завершено


Запитання 25

Основна мета розрахунку на міцність:


варіанти відповідей

A. Мінімізувати масу

B. Забезпечити відсутність деформацій

C. Запобігти руйнуванню елемента

D. Спрощення конструкції


Створюйте онлайн-тести
для контролю знань і залучення учнів
до активної роботи у класі та вдома

Створити тест