Органічні речовини (білки, вуглеводи, ліпіди)

Додано: 30 вересня 2025
Предмет: Біологія, 9 клас
30 запитань
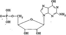
Запитання 1

Фрагмент якої молекули, показаний на малюнку?

варіанти відповідей

ДНК

Глюкоза

Білок

 Амінокислота

Запитання 2

Якими зв'язками сполучені залишки амінокислот у складі первинної структури білка?

варіанти відповідей

Гідрофобними

Пептидними

Водневими

Йонними

Запитання 3

Яку функцію виконує білок гемоглобін?

варіанти відповідей

транспортну

каталітичну

структурну

рухову

Запитання 4

Денатурація - це:

варіанти відповідей

процес порушення природної структури білка без руйнування пептидних зв’язків

процес руйнування первинної структури білків

відновлення структури білка на початковій стадії руйнування 

процес руйнування четвертинної, третинної та вторинної структури білків

Запитання 5

Визначте сполуки, які забезпечують прискорення біохімічних реакцій.

варіанти відповідей

ДНК

гормони

ферменти

вітаміни

Запитання 6

Первинна структура білка зображена на малюнку .......

варіанти відповідей
Запитання 7

Мономерами вуглеводів є


варіанти відповідей

Нуклеїнові кислоти

Гліцерин, жирні кислоти

 Амінокислоти

Моносахариди

Запитання 8

Виберіть полісахариди, які відкладаються у клітинах про запас:

варіанти відповідей

Целюлоза

Хітин

Крохмаль

Глікоген

Запитання 9

Структурну й захисну функції виконують такі вуглеводи:

варіанти відповідей

глікоген й крохмаль

рибоза й дезоксирибоза

целюлоза й хітин

Запитання 10

Дезоксирибоза входить до складу:

варіанти відповідей

РНК

целюлози

ДНК

Запитання 11

Яка група рослин найбагатша на ліпіди?

варіанти відповідей

Груша, вишня, томати, огірок

Оливки, ріпак, арахіс, соняшник

Кукурудза, рис, пшениця, квасоля

 Картопля, томати, капуста, овес

Запитання 12

Мономерами ліпідів є:

варіанти відповідей

Нуклеїнові кислоти

Гліцерин, жирні кислоти

Амінокислоти

Моносахариди

Запитання 13

Мономерами ліпідів є

варіанти відповідей

Нуклеїнові кислоти

Гліцерин, жирні кислоти

Амінокислоти

Моносахариди

Запитання 14

Мономерами вуглеводів є

варіанти відповідей

Нуклеїнові кислоти

 Гліцерин, жирні кислоти

 Амінокислоти

 Моносахариди

Запитання 15

Мономерами білків є

варіанти відповідей

Нуклеїнові кислоти

 Гліцерин, жирні кислоти

Амінокислоти

Моносахариди

Запитання 16

Амінокислоти з'єднуються ... зв'язком

варіанти відповідей

Пептидним

Водневим

ковалентним

Запитання 17

Скільки існує структурних організацій білків?

варіанти відповідей

5

3

2

4

Запитання 18

До яких вуглеводів належать пентози?

варіанти відповідей

Моносахариди

Олігосахариди

Полісахариди

Запитання 19

До простих ліпідів відносяться (2 відповіді)

варіанти відповідей

Жири

Фосфоліпіди

Воски

Ліпопротеїди

Гліколіпіди

Запитання 20

З чого утворюються біополімери?

варіанти відповідей

Мономерів

Моносахаридів

Мінеральних солей

Запитання 21

1г вуглеводів =

варіанти відповідей

38,9 кДж енергії

23,4 кДж енергії

17,6 кДж енергії

17,7 кДж енергії

Запитання 22

Об'єднання кількох глобул білка - це

варіанти відповідей

Первинна структура білків

Вторинна структура білків

Третинна структура білків

Червертинна структура білків

Запитання 23

Вибери структурну формулу амінокислоти

варіанти відповідей
Запитання 24

Скільки амінокислот є незамінними?

варіанти відповідей

50

100

20

200

Запитання 25

Амінокислоти організму людини і тварини , які здатні синтезуватися з продуктів обміну

варіанти відповідей

Незамінні

Замінні

первинні

вторинні

Запитання 26

Яку структуру просторової організації білка зображено?

варіанти відповідей

первинну

вторинну

третинну

четвертинну

Запитання 27

Яку структуру білка зображено?

варіанти відповідей

первинну

вторинну

третинну

четвертинну

Запитання 28

Процес руйнування природної структури білків, який супроводжується розгортанням білкової молекули, без зміни її ппервинної структури називається

варіанти відповідей

деструкцією

денатурацією

ренатурацією

Запитання 29

Які фактори можуть спричинити денатурацію білків

варіанти відповідей

Зміна температури

Кислоти, луги

Вплив солей важких металів

Усі перелічені фактори

Запитання 30

Деякі білки можуть виконувати захисну функцію. Які білки беруть участь в імунній відповіді організму

варіанти відповідей

Ферменти

Гормони

Антитіла

Пігменти

Створюйте онлайн-тести
для контролю знань і залучення учнів
до активної роботи у класі та вдома

Створити тест