Основні поняття Python. Арифметичні вирази. Лінійні програми

Додано: 18 березня 2025
Предмет: Інформатика, 6 клас
24 запитання
Запитання 1

Яким є призначення команди input?

варіанти відповідей

Перевірка програми на наявність помилок

Введення значень змінних з клавіатури

Виведення повідомлень

Надання імені змінній

Запитання 2

Знаком присвоєння на мові Pyhton є символ ...

варіанти відповідей

:=

=

+-

+=

Запитання 3

Команда print означає ...

варіанти відповідей

присвоїти значення змінної

умова

вивести на екран

надати ім'я

Запитання 4

Для збереження файла програми необхідно виконати команди:

варіанти відповідей

New File

File → Save as

Run → Run Modulе

F5

Запитання 5

Операція '**' (наприклад, 5**2) у мові програмування Python - це ...

варіанти відповідей

множення

цитата

піднесення до степеня

фунцкція

Запитання 6

Що означає символ %?

варіанти відповідей

ЦІла частина від ділення

Піднесення до степеня

Остача від ділення

Округлення

Запитання 7

До алфавіту мови програмування Python входять ...

варіанти відповідей

латинські літери від а до z та від A до Z;

спеціальні символи

цифри від 0 до 9;

зарезервовані (службові слова): if, for, def, print тощо

римські цифри

знаки арифметичних операцій

літери англійського алфавіту

знаки порівняння

Запитання 8

Вкажіть типи числових данних

варіанти відповідей

int

bool

string

str

float

Запитання 9

Яка із наведених нижче команд реалізує введення ЦІЛОГО ЧИСЛА?

варіанти відповідей

n = input(int())

n = int(input())

n = float(input())

n = input(float())

Запитання 10

Яка із наведених нижче команд реалізує введення ДІЙСНОГО ЧИСЛА?

варіанти відповідей

n = int(input())

n = float(input())

n = input(int())

n = input(float())

Запитання 11

Яке значення буде присвоєно змінній a після виконання таких команд:

a = 4 + 3 * 2 - 2 ?

варіанти відповідей

16

8

40

28

Запитання 12

Вкажіть символ операції знаходження цілої величини від ділення

варіанти відповідей

//

%

**

/

Запитання 13

До магазину привезли Р кг яблук, а груш — у N разів більше. Скільки всього фруктів привезли до магазину? Яка формула відповідає математичній моделі задачі, якщо загальну кількість фруктів позначити змінною А?

Позначте правильну відповідь.

варіанти відповідей

A = P + P*N

A = P + N

A = P * P*N

Запитання 14

Як записується команда "Величині а просвоїти значення 5"?

варіанти відповідей

5 присвоїти а

а=5

5=а

а:=5

Запитання 15

Тип даних, який позначає дробові числа?

варіанти відповідей

int

str

float

char

Запитання 16

Позначити рядки, у яких є команди, що використовують для збереження програми в Python

варіанти відповідей

File->New file

File->Open

File->Save

File->Save as ...

Запитання 17

Основним розширенням файлу Python є розширення ...

варіанти відповідей

.pyt

.doc

.py

.txt

.ppt

Запитання 18

Середовище програмування на Python називається ...

варіанти відповідей

Python IDEY

Python IDLE

Python IDOL

Python EAGLE

Запитання 19

Що виведе цей код?

a = 1

b = 3

c=a+b

print(c)

варіанти відповідей

1

3

4

a+b

Запитання 20

Для запуску програми на виконання необхідно виконати такі дії ...

варіанти відповідей

File → Save as ...

Run → Run Modul

File → New File

F5

Запитання 21

Яким буде результат роботи програми?

a=10

b=7

print(c)

варіанти відповідей

17

a+b

с

Помилка

Запитання 22

Як позначається логічна операція "не дорівнює" в мові програмування Python?

варіанти відповідей

<>

>=

<=

!=

==

Запитання 23

Як записується знак рівності на Python?

варіанти відповідей

!=

=!

=

==

:=

=:

Запитання 24

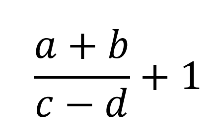
З клавіатури вводяться значення чотирьох змінних a,b,c,d. Яка із нижче наведених команд виконує ПРАВИЛЬНЕ обчислення значення виразу, заданого формулою на малюнку?

варіанти відповідей

(a + b) / (c - d + 1)

(a + b) / (c - d) + 1

a + b / c - d + 1

(a + b) / c - d + 1

Створюйте онлайн-тести
для контролю знань і залучення учнів
до активної роботи у класі та вдома

Створити тест