Перетворення звичайних дробів у десяткові. Десяткові наближення звичайного дробу. Вправи на всі дії зі звичайними дробами.

11 запитань
Запитання 1

Дано дріб: 6,7(24). Укажіть період даного дробу.

варіанти відповідей

7

724

24

6

Запитання 2

Дано дріб: 5,7(34). Подайте дріб у розгорнутому вигляді

варіанти відповідей

 5,734

5,734734

 5,74343

5,7343434

Запитання 3

Запишіть число у вигляді десяткового дробу

варіанти відповідей

0,167

0,16666...

1,6666...

0,7777

Запитання 4

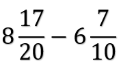
Перетворіть у десятковий дріб та обчисліть:

варіанти відповідей

6,4

6,73

6,55

6,3

Запитання 5

Знайдіть десяткове наближення до сотих корення рівннння

варіанти відповідей

0,13

0,133

0,14

0,134

Запитання 6

Обчисли суму чисел

варіанти відповідей
Запитання 7

Обчисліть

варіанти відповідей
Запитання 8

Перетвори десятковий дріб у звичайний і обчисли

варіанти відповідей
Запитання 9

Виконайте ділення

варіанти відповідей

¾

Запитання 10

Обчисліть

варіанти відповідей

9

Запитання 11

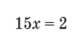
Розв'язати рівняння

варіанти відповідей

½

Створюйте онлайн-тести
для контролю знань і залучення учнів
до активної роботи у класі та вдома

Створити тест