Підсумкова контрольна робота

Додано: 26 травня 2025
Предмет: Математика, 6 клас
10 запитань
Запитання 1

Обчисліть: (4,6 - 7,4 ) : ( - 0,4)

варіанти відповідей

0,7

-7

7

-0,7

Запитання 2

Спростіть вираз: 7у - 2(5у + 8)

варіанти відповідей

 -3у + 8

 3у - 16

-3у - 16


3у + 8

Запитання 3

Знайдіть корінь рівняння 9х + 2,8 = 5х + 14,8

варіанти відповідей

4

2

3

1

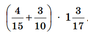
Запитання 4

Виконайте дії:

варіанти відповідей
Запитання 5

Розв'яжіть рівняння:

0,3(х - 6) = 0,4(8 - х) - 7,1

варіанти відповідей

3

-0,3

0,3

-3

Запитання 6

Знайти значення виразу: 24 - (-13) - (-12)

варіанти відповідей

-1

25

23

49

Запитання 7

Розкрийте дужки: 2(х-7)

варіанти відповідей

 14х

 2х-14

2х-7

-2х-14

Запитання 8

Якій координатній чверті належить точка М ( -4;-4)

варіанти відповідей

  І чверті

ІІІ чверті

  ІІ чверті

ІV чверті

Запитання 9

Обчисліть:

14,13 - (-23,5) =

варіанти відповідей

-2,2

37,63

0,18

9,37

Запитання 10

Обчисліть:

4,6 - 6,8 =

варіанти відповідей

-2,2

-1,5

9,37

0,18

Створюйте онлайн-тести
для контролю знань і залучення учнів
до активної роботи у класі та вдома

Створити тест