Директорська контрольна робота з математики 6 клас

Додано: 18 квітня
Предмет: Математика, 6 клас
10 запитань
Запитання 1

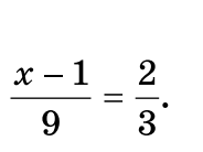
Розв'яжи рівняння: (х − 1)9 = 23

Розв'язання надіслати в Classroom

варіанти відповідей

5

6

7

8

Запитання 2

Розв'яжи рівняння |x| + 1 = 5

варіанти відповідей

− 4; 4

4

− 6; 6

6

Запитання 3

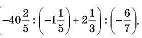
Знайди значення виразу:

Розв'язання надіслати в Classroom

варіанти відповідей

− 36

36

42

− 42

Запитання 4

Виберіть, яку цифру необхідно поставити замість зірочки, щоб округлення до десятих було виконано правильно:  2, ∗ 8 ≈ 2, 7

варіанти відповідей

4

5

6

7

Запитання 5

На першій полиці у три рази більше книг, ніж на другій. Після того як з першої полиці переклали на другу 15 книг, то на полицях книг стало порівну. Скільки книг було на першій полиці спочатку?

Розв'язання надіслати в Classroom

варіанти відповідей

15

25

30

45

Запитання 6

Спрости вираз 

− 4 (3,6x − 2) − (3 − 2,1x) + 5 (0,3x − 6)

Розв'язання надіслати в Classroom

варіанти відповідей

10,8x − 25

– 10,8x − 25

– 8,8x + 35

8,8x + 35

Запитання 7

66% урожаю вишні відклали на сушіння, а решту 17 кг заморозили. Скільки кілограмів вишні відклали на сушіння?

Розв'язання надіслати в Classroom

варіанти відповідей

33 кг

50 кг

66 кг

100 кг

Запитання 8

Прямокутний трикутник, у якого сторони відносяться як 3 : 4 : 5, називають єгипетським. Знайдіть величину найбільшої сторони трикутника, якщо його периметр дорівнює 84 см

Розв'язання надіслати в Classroom

варіанти відповідей

30 см

35 см

40 см

45 см

Запитання 9

Порівняй числа

− 18,7 та − 13,6

варіанти відповідей

− 18,7 > − 13,6

− 18,7 < − 13,6

− 18,7 = − 13,6

неможливо визначити

Запитання 10

Розв'яжи рівняння: х + 13 = − 8

варіанти відповідей

− 21

− 5

5

21

Створюйте онлайн-тести
для контролю знань і залучення учнів
до активної роботи у класі та вдома

Створити тест