Підсумкова контрольна робота за 6 клас за підручником Дж. Е. Біоса

Додано: 22 травня 2025
Предмет: Математика, 6 клас
12 запитань
Запитання 1

Знайдіть НСД (39;65)

варіанти відповідей

3

13

39

195

Запитання 2

Упорядкуйте дроби: 3/5; 0,2; 11/20; 0,75 за зростанням

варіанти відповідей

11/20; 0,75; 3/5; 0,2

0,2; 3/5; 0,75; 11/20

0,2; 11/20; 3/5; 0,75

3/5; 0,2; 11/20; 0,75

Запитання 3

Знайдіть невідомий член пропорції:

х : 6 = 3 : 5

варіанти відповідей

3,6

10

2,5

15

Запитання 4

Знайдіть площу зафарбованої фігури.

варіанти відповідей

306 см2

194 см2

500 см2

50 дм2

Запитання 5

Обчисліть:

14,13 - (-23,5) =

варіанти відповідей

-2,2

37,63

0,18

9,37

Запитання 6

Обчисліть:

4,6 - 6,8 =

варіанти відповідей

-2,2

-1,5

9,37

0,18

Запитання 7

Обчисліть:

-0,2 ⋅ 1,8 ⋅ (-0,5) =

варіанти відповідей

0,18

-2,2

-1,5

9,37

Запитання 8

Обчисліть:

варіанти відповідей

1,5

-1,5

-2,2

2,2

Запитання 9

Розв'яжіть рівняння: 6(х - 12) = 5 - х

варіанти відповідей

11

10

9

7

Запитання 10

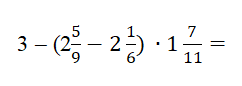
Знайдіть значення виразу:

варіанти відповідей

2,25

-2,1

4/11

Запитання 11

Щоб прикрасити банкетну залу, флористу знадобилося три види квітів, серед яких півонії становили 3/8 всіх квітів, троянди - 70% решти. Скільки закупили еустоми, якщо всього придбали 560 штук квітів?

варіанти відповідей

105

245

350

270

Запитання 12

З грядки зібрали 12кг огірків і розклали в 11 дволітрових та 8 однолітрових банок для консервування. Скільки грамів огірків поміститься в кожний вид банок, якщо в дволітрові їх поміщається вдвічі більше, ніж в однолітрові?

варіанти відповідей

400гр і 800гр

300гр і 500гр

300гр і 600гр

500гр і 1000гр

Створюйте онлайн-тести
для контролю знань і залучення учнів
до активної роботи у класі та вдома

Створити тест