порівняння дробів

Додано: 17 січня 2025
Предмет: Алгебра, 6 клас
36 запитань
Запитання 1

Як додавати дроби

варіанти відповідей

Додати тільки чисельники

Додати чисельники і знаменник

Коли додали залишити тільки чесельник

Запитання 2

Порівняйте числа 3,5 і -4,5 (поставити знак < , > , або =)

варіанти відповідей

<

>

=

Запитання 3

Порівняйте числа -5,5 і -4,5 (поставити знак < , > , або =)

варіанти відповідей

<

>

=

Запитання 4

Порівняйте числа 0 і -4,055 (поставити знак < , > , або =)

варіанти відповідей

<

>

=

Запитання 5

Порівняйте числа -1,5 і -1,50 (поставити знак < , > , або =)

варіанти відповідей

<

>

=

Запитання 6

Порівняйте числа 100 і -101 (поставити знак < , > , або =)

варіанти відповідей

>

<

=

Запитання 7

 Дано дроби:Скільки серед даних дробів неправильних, у яких чисельник дорівнює знаменнику? 

варіанти відповідей

3

4

5

8

Запитання 8

13,25 : 10

варіанти відповідей

132,5

1,325

1325

13250

Запитання 9

6,76 : 100

варіанти відповідей

0,0676

0,676

6,76

67,6

676

Запитання 10

До якого найменьшого спільного знаменника можна звести дроби?

варіанти відповідей

9

12

18

36

Запитання 11

До якого найменьшого спільного знаменника можна звести дроби?

варіанти відповідей

40

10

20

80

Запитання 12

До якого найменьшого спільного знаменника можна звести дроби?

варіанти відповідей

15

30

150

45

Запитання 13

До якого найменьшого спільного знаменника можна звести дроби?

варіанти відповідей

20

30

60

120

Запитання 14

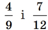
Який знак треба поставити замість "і"? (порівняй)

варіанти відповідей

=

>

<

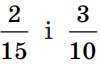
Запитання 15

Який знак треба поставити замість "і"? (порівняй)

варіанти відповідей

=

>

<

Запитання 16

Який знак треба поставити замість "і"? (порівняй)

варіанти відповідей

=

>

<

Запитання 17

Який знак треба поставити замість "і"? (порівняй)

варіанти відповідей

=

>

<

Запитання 18

Що можна поставити замість Х?

варіанти відповідей

2

7

9

3

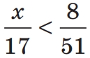
Запитання 19

Що можна поставити замість Х?

варіанти відповідей

4

7

9

3

Запитання 20

Округліть до сотих: 83, 568 ≈.....

варіанти відповідей

83,56

83,57

83,6

83,5

Запитання 21

Округліть до одиниць: 83, 568 ≈.....

варіанти відповідей

84

83

84,4

83,5

Запитання 22

Округліть до десятків: 83, 568 ≈.....

варіанти відповідей

80

81

83

83,5

Запитання 23

Округлити до тисячних: 2,3984 ≈ .....

варіанти відповідей

2,398

2,399

2,39

2,4

Запитання 24

Які цифри можна поставити замість *, щоб округлення було виконано правильно: 35,25* ≈ 35,25

варіанти відповідей

0;1;2;3;4.

5;6;7;8;9.

0;2;5;7.

3;4;5;6;8.

Запитання 25

Округліть до сотих число 0,394

варіанти відповідей

0,49

0,39

0,3

0,4

Запитання 26

Округли до десятих 345, 987

варіанти відповідей

350

345,9

346,0

345,99

Запитання 27

Округліть до сотих число 0,394

варіанти відповідей

0,49

0,39

0,3

0,4

Запитання 28

Обчислити:

варіанти відповідей

А

Б

В

Г

Запитання 29

Обчислити:

варіанти відповідей

А

Б

В

Г

Запитання 30

Обчислити:

варіанти відповідей

А

Б

В

Г

Запитання 31

Очислити:

варіанти відповідей

А

Б

В

Г

Запитання 32

Обчислити:

варіанти відповідей

А

Б

В

Г

Запитання 33

Очислити:

варіанти відповідей

А

Б

В

Г

Запитання 34

Обчислити:

варіанти відповідей

А

Б

В

Г

Запитання 35

Обчислити:

варіанти відповідей

7\10

2\15

5\15

3\20

Запитання 36

Обчислити:

варіанти відповідей

9\45

20\45

40\45

13\45

Створюйте онлайн-тести
для контролю знань і залучення учнів
до активної роботи у класі та вдома

Створити тест