Порівняння звичайних дробів

Додано: 31 березня
Предмет: Математика, 6 клас
6 запитань
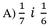
Запитання 1

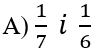
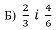
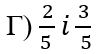
1. Між якими дробами можна поставити знак « ˃ »:

варіанти відповідей
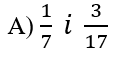
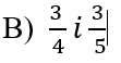
Запитання 2

У якому варіанті перший дріб менший за другого:

варіанти відповідей
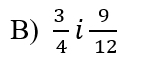
Запитання 3

Яке порівняння виконано правильно:

варіанти відповідей
Запитання 4

У якому випадку перший дріб дорівнює другому:

варіанти відповідей
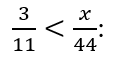
Запитання 5

Яке число необхідно поставити замість х, щоб була правильною нерівність  


варіанти відповідей

11

12

10

13

Запитання 6

Записати дроби в порядку спадання

варіанти відповідей

Створюйте онлайн-тести
для контролю знань і залучення учнів
до активної роботи у класі та вдома

Створити тест