Рівняння. Розв'язування задач за допомогою рівнянь

Додано: 8 квітня
Предмет: Математика, 6 клас
6 запитань
Запитання 1

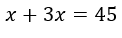
Розв'язати рівняння

варіанти відповідей
Запитання 2

В одному ящику було на 3 кг яблук більше, ніж у другому. Скільки яблук було в кожному ящику, якщо в двох ящиках було 45 кг яблук.

Склади рівняння для розв'язання задачі, позначивши через х масу яблук в ящику, де яблук менше.

варіанти відповідей
Запитання 3

На першій полиці було в 3 рази більше книг, ніж на другій. Коли з першої полиці переклали на другу 8 книг, то на обох полицях книг стало порівну.

Склади рівняння для розв'язання задачі, якщо через х позначили кількість книг на другій полиці.

варіанти відповідей
Запитання 4

Розв'яжи задачу:

Турист 3 год їхав на велосипеді і 2 год йшов пішки, подолавши за весь час38 км. З якою швидкістю йшов турист, якщо його швидкість на велосипеді на 6 км/год більша, ніж він йшов пішки?

варіанти відповідей

6 км/год

10 км/год

4 км/год

11,2 км/год

Запитання 5

Знайдіть x:

2x - 10 = 3(5 - x)

варіанти відповідей

x = 5

x = 2

x = 1

x = 3

Запитання 6

Знайдіть x:

7,5x +2,5 = 3x - 6,5

варіанти відповідей

-2

2

1

3,5

Створюйте онлайн-тести
для контролю знань і залучення учнів
до активної роботи у класі та вдома

Створити тест